Đề kiểm tra giữa học kì 1 (HK1) lớp 9 môn Toán năm 2021 – 2022 trường TH THCS Ngôi Sao Hà Nội

Đề kiểm tra giữa học kì 1 (HK1) lớp 9 môn Toán năm 2021 – 2022 trường TH THCS Ngôi Sao Hà Nội

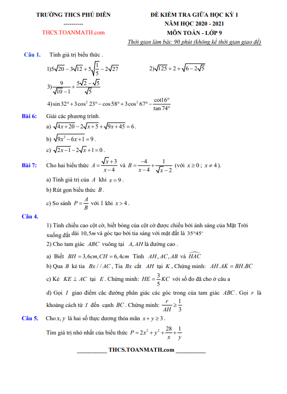
Nội dung Đề kiểm tra giữa học kì 1 (HK1) lớp 9 môn Toán năm 2021 – 2022 trường TH THCS Ngôi Sao Hà Nội Bản PDF

Đề kiểm tra giữa kì 1 Toán lớp 9 năm 2021 – 2022 trường TH&THCS Ngôi Sao Hà Nội

Đề kiểm tra giữa kì 1 môn Toán lớp 9 năm học 2021 – 2022 của trường TH&THCS Ngôi Sao Hà Nội bao gồm một trang giấy với bốn bài toán dạng tự luận. Thời gian làm bài là 90 phút. Kỳ thi sẽ diễn ra vào ngày 07 tháng 09 năm 2021.

Bình luận (5)

Phương Uyên

Em rất hạnh phúc khi có cơ hội tham gia vào bài kiểm tra này, vì nó giúp em nâng cao kiến thức và kỹ năng trong môn Toán của mình.

Trả lời.

Diệp Trân

Tôi thấy đề kiểm tra này rất hữu ích để học sinh tự ôn tập và chuẩn bị cho kì thi cuối kì sắp tới.

Trả lời.

Võ Thị Thanh Nhàn

Em thấy bộ đề kiểm tra này rất công bằng và khách quan, giúp em tự tin hơn khi làm bài và không gặp phải sự thiên vị.

Trả lời.

Nguyễn Trọng Linh

Tôi rất cảm động khi thấy đề kiểm tra này được biên soạn một cách tỉ mỉ và có tính logic cao, giúp học sinh phát triển tư duy logic.

Trả lời.

Lê Đức Đạt

Em thấy bài kiểm tra này rất thú vị và đa dạng, giúp em hiểu sâu hơn về những kiến thức mình đã học.

Trả lời.
Nhấn vào đây để đánh giá
Thông tin người gửi
1.45688 sec| 2473.336 kb