Đề thi Olympic 10/3 lớp 11 môn Toán năm 2019 lần 4 trường chuyên Nguyễn Du – Đăk Lăk

Đề thi Olympic 10/3 lớp 11 môn Toán năm 2019 lần 4 trường chuyên Nguyễn Du – Đăk Lăk

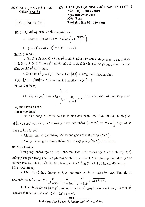
Nội dung Đề thi Olympic 10/3 lớp 11 môn Toán năm 2019 lần 4 trường chuyên Nguyễn Du – Đăk Lăk Bản PDF

Đề thi Olympic 10/3 Toán lớp 11 năm 2019 lần 4 trường chuyên Nguyễn Du – Đăk Lăk

Đề thi Olympic 10/3 Toán lớp 11 năm 2019 lần 4 của trường THPT chuyên Nguyễn Du – Đăk Lăk đã thu hút sự quan tâm của đội tuyển học sinh giỏi Toán lớp 11 đến từ nhiều trường trên địa bàn tỉnh. Với 01 trang đề bài và thời gian làm bài là 180 phút, kỳ thi được tổ chức vào ngày 02 tháng 03 năm 2019.

Đề thi gồm 6 bài toán tự luận, trong đó có những bài toán đòi hỏi sự tư duy logic và khả năng giải quyết vấn đề của thí sinh. Một trong những bài toán đặc biệt khó khăn yêu cầu thí sinh chứng minh một hệ thức phức tạp liên quan đến tỷ lệ diện tích tam giác và điểm lấy trên các cạnh của tam giác đó.

Cụ thể, bài toán đề cập đến việc chứng minh rằng tỷ lệ diện tích tam giác BMK so với tam giác ABC bằng với tích của sản phẩm các cạnh và các khoảng cách từ điểm K đến các cạnh của tam giác. Bài toán khác yêu cầu tìm nghiệm nguyên dương của một phương trình đa thức cũng không đơn giản.

Đặc biệt, bài toán cuối cùng về hình chữ nhật 2017×2019 ô vuông có điều kiện về tổng số ô có số 1 trong đó tạo ra một thử thách lớn cho thí sinh với sự kỳ vọng vào khả năng tư duy và tính sáng tạo trong giải quyết vấn đề.

Với đề thi Olympic 10/3 Toán lớp 11 năm 2019 lần 4 này, không chỉ là cuộc thi giao lưu giữa các trường mà còn là cơ hội để các tài năng trẻ thể hiện khả năng và đam mê của mình với môn học Toán.

Bình luận (5)

Vũ Nguyên

Tôi sẽ giới thiệu tài liệu này đến các học sinh lớp 11 khác để cùng nhau học tập và chinh phục thử thách từ đề thi Olympic. Chúng ta sẽ cùng phấn đấu và cùng thành công!

Trả lời.

Ly Khánh

Em chắc chắn sẽ dành thời gian làm kỹ từng câu hỏi trong đề thi này để nâng cao khả năng Toán của mình. Đây là một cơ hội không thể bỏ lỡ.

Trả lời.

Tỷ Tỷ

Tôi tin rằng đề thi này sẽ giúp học sinh lớp 11 rèn luyện khả năng giải quyết vấn đề và tư duy toán học của mình một cách hiệu quả.

Trả lời.

nguyen xuan lĩnh

Em không thể tin được rằng đã có một tài liệu ý nghĩa như vậy. Cảm ơn tất cả những người đã đóng góp vào việc thực hiện tài liệu này.

Trả lời.

Lê ngân

Tôi muốn bày tỏ lòng biết ơn đến các tác giả đã biên soạn đề thi này. Những câu hỏi và bài toán đều rất thú vị và bổ ích.

Trả lời.
Nhấn vào đây để đánh giá
Thông tin người gửi
1.19908 sec| 2475.93 kb