Đề thi thử Toán vào năm 2023 2024 trường THCS Phúc Thọ Nghệ An

Đề thi thử Toán vào năm 2023 2024 trường THCS Phúc Thọ Nghệ An
Mời thí sinh CLICK vào liên kết hoặc ảnh bên dưới Mở ứng dụng Shopee để tiếp tục làm bài thi
https://s.shopee.vn/AKN2JyAJAw
sytu.net và đội ngũ nhân viên xin chân thành cảm ơn!

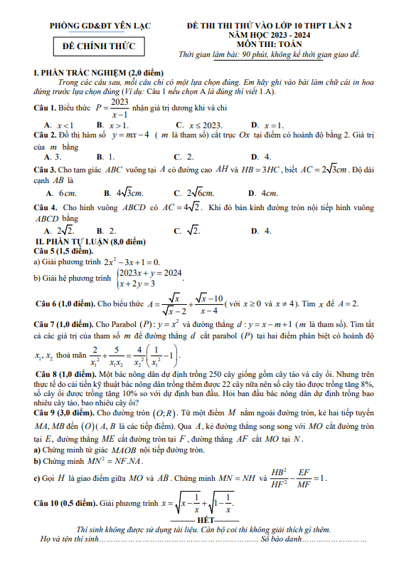
Nội dung Đề thi thử Toán vào năm 2023 2024 trường THCS Phúc Thọ Nghệ An Bản PDF

Đề thi thử Toán vào năm 2023 2024 trường THCS Phúc Thọ Nghệ An:

Đề thi thử Toán vào năm 2023 2024 trường THCS Phúc Thọ Nghệ An đã được chuẩn bị kỹ lưỡng và chất lượng cao, đảm bảo giúp học sinh ôn tập và củng cố kiến thức một cách hiệu quả. Đề thi này sẽ giúp các em ôn tập và tự tin bước vào kỳ thi chính thức. Được xây dựng bởi đội ngũ giáo viên giàu kinh nghiệm, đề thi đảm bảo phản ánh đầy đủ chương trình học và đặc biệt là các dạng bài thi mới có thể xuất hiện trong kỳ thi sắp tới. Hãy chuẩn bị tâm lý và nỗ lực học tập để đạt kết quả cao trong kỳ thi sắp tới nhé!

Bình luận (4)

Nhật Đào

Tài liệu này thực sự là một phần quan trọng giúp em tự tin hơn cho kỳ thi tới. Cảm ơn trường THCS Phúc Thọ Nghệ An vì đã chia sẻ đề thi thử Toán cực kỳ hữu ích này đến mọi người.

Trả lời.

10a1•41•Tường Thanh Tú

Cảm xúc tràn ngập khi thấy đề thi thử này. Em rất biết ơn và lòng thành kính đến tất cả những người đã làm nên tài liệu ôn thi quý báu này.

Trả lời.

huỳnh lê

Em thấy rất vui khi có thể tải xuống tài liệu này để rèn luyện kiến thức Toán. Cảm ơn trường THCS Phúc Thọ Nghệ An đã chuẩn bị đề thi thử rất chi tiết và chất lượng.

Trả lời.

Nguyễn Mạnh Tuấn

Thật tuyệt vời khi có đề thi thử Toán vào năm 2023 2024 từ trường THCS Phúc Thọ Nghệ An. Tôi rất phấn khích vì có cơ hội ôn tập và chuẩn bị cho kỳ thi sắp tới.

Trả lời.
Nhấn vào đây để đánh giá
Thông tin người gửi
1.70990 sec| 2473.008 kb