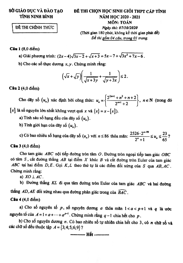
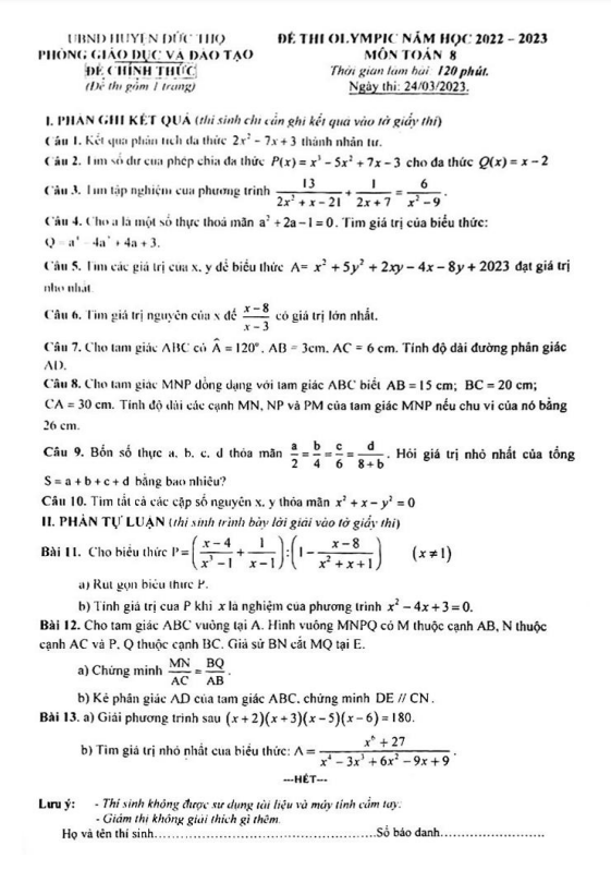
102 bài toán bất đẳng thức và giá trị lớn nhất, giá trị nhỏ nhất chọn lọc

102 bài toán bất đẳng thức và giá trị lớn nhất, giá trị nhỏ nhất chọn lọc

Nội dung 102 bài toán bất đẳng thức và giá trị lớn nhất, giá trị nhỏ nhất chọn lọc Bản PDF

102 bài toán bất đẳng thức và giá trị lớn nhất, giá trị nhỏ nhất chọn lọc

Tài liệu này bao gồm 102 bài toán bất đẳng thức và giá trị lớn nhất, giá trị nhỏ nhất được tổng hợp bởi thầy giáo Cù Minh Quảng. Tài liệu cung cấp đáp án và lời giải chi tiết cho từng bài toán, giúp học sinh ôn tập hiệu quả để chuẩn bị cho kỳ thi chọn học sinh giỏi Toán cấp THCS cũng như ôn thi vào lớp 10 môn Toán. Với sự tập trung vào những bài toán được lựa chọn kỹ càng, tài liệu sẽ giúp học sinh nắm vững kiến thức và kỹ năng cần thiết để thành công trong các kỳ thi quan trọng.

Bình luận (4)

Thanh Nguyễn Bảo

Sau khi tham gia các bài toán trong tài liệu, tôi cảm thấy hứng thú và tự tin hơn trong việc giải quyết các bài toán khó khăn. Đây thực sự là một nguồn tài liệu bổ ích cho mọi học sinh và giáo viên.

Trả lời.

đặng lê bảo châu

Tài liệu này giúp em hiểu rõ hơn về cách giải các bài toán bất đẳng thức và tìm ra giá trị lớn nhất, nhỏ nhất của biểu thức. Cám ơn tác giả vì đã chia sẻ kiến thức hữu ích này.

Trả lời.

Phú

Em cảm động với công sức và kiến thức mà tác giả đã đầu tư vào cuốn sách này. Việc giải quyết 102 bài toán bất đẳng thức không chỉ giúp em nâng cao kiến thức mà còn rèn luyện khả năng tư duy logic.

Trả lời.

11. Nguyễn Đình Hoan 7/14

Tôi rất vui khi tìm thấy tài liệu '102 bài toán bất đẳng thức và giá trị lớn nhất, giá trị nhỏ nhất chọn lọc'. Đây thực sự là một nguồn tư liệu hữu ích cho việc ôn tập và rèn luyện kỹ năng giải toán.

Trả lời.
Nhấn vào đây để đánh giá
Thông tin người gửi
1.86101 sec| 2472.633 kb