16 đề ôn thi học kì 1 (HK1) lớp 12 môn Toán năm học 2019 2020 có đáp án

16 đề ôn thi học kì 1 (HK1) lớp 12 môn Toán năm học 2019 2020 có đáp án
Mời thí sinh CLICK vào liên kết hoặc ảnh bên dưới Mở ứng dụng Shopee để tiếp tục làm bài thi
https://s.shopee.vn/AKN2JyAJAw
sytu.net và đội ngũ nhân viên xin chân thành cảm ơn!

Nội dung 16 đề ôn thi học kì 1 (HK1) lớp 12 môn Toán năm học 2019 2020 có đáp án Bản PDF

16 Đề Ôn Thi Học Kỳ 1 (HK1) Lớp 12 Môn Toán Năm Học 2019 - 2020

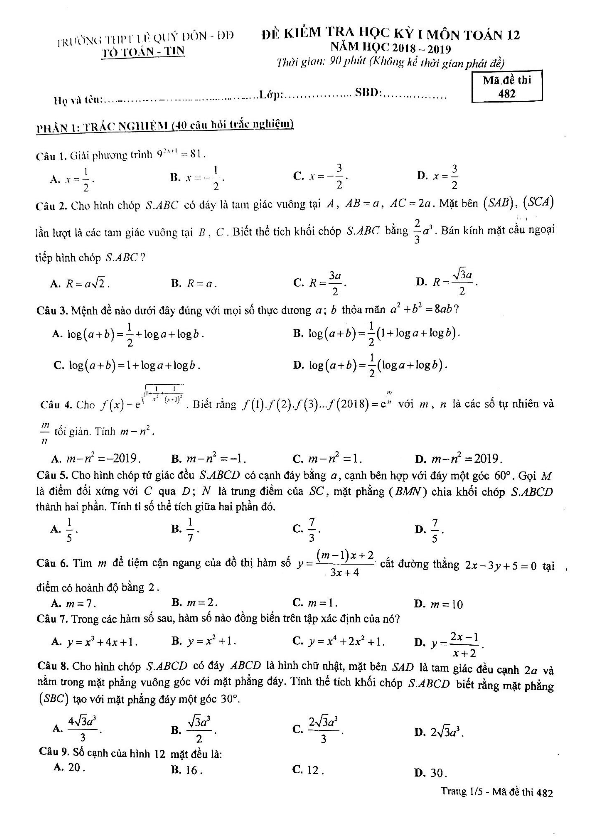
Tài liệu này được biên soạn bởi thầy Phùng V. Hoàng Em và bao gồm 81 trang. Nó tập trung vào việc ôn tập cho học kỳ 1 môn Toán của học sinh lớp 12 năm học 2019 - 2020, với đáp án đi kèm.

Tài liệu này được chia thành 16 đề ôn thi, được tuyển chọn cẩn thận.

8 đề thi đầu tiên (đề 01 đến 08) mỗi đề chỉ gồm 35 câu trắc nghiệm, tập trung vào các nội dung kiến thức cơ bản của Toán lớp 12. Những đề này phù hợp cho học sinh trung bình - yếu, để giúp họ chinh phục mức điểm 7 trở xuống.

8 đề thi tiếp theo (đề 09 đến 16) mỗi đề đều bao gồm 50 câu hỏi và bài toán trắc nghiệm khách quan. Các đề này có cấu trúc tương tự với các đề thi học kỳ 1 Toán lớp 12 của các sở Giáo dục và Đào tạo trên cả nước ở những năm học trước. Những đề này phù hợp cho tất cả các đối tượng học sinh.

Dưới đây là một số câu hỏi mẫu trong tài liệu:
- Tính giá trị của khúc gỗ có hình dạng như lăng trụ tứ giác đều, biết rằng mỗi mét khối gỗ trị giá 3 triệu đồng.
- Xác định điểm M và N trên đường tiếp tuyến với mặt cầu.
- Chọn phát biểu đúng trong các phát biểu cho trước.

Tài liệu này sẽ là công cụ hữu ích để học sinh lớp 12 ôn tập và chuẩn bị cho kỳ thi học kỳ 1 của môn Toán. Mong rằng nó sẽ giúp học sinh nắm vững kiến thức và đạt kết quả tốt trong kỳ thi sắp tới.

Bình luận (5)

Nguyễn Đức Tuấn

Em cảm thấy hứng khởi và sẵn sàng học hành khi có trong tay tài liệu ôn thi Toán lớp 12 hàng đầu này, cảm ơn người đã tạo ra nó!

Trả lời.

Cao Việt Long

Tôi tự hào vì có cơ hội sử dụng tài liệu chất lượng như vậy, chắc chắn kỳ thi sắp tới sẽ không là khó khăn đối với học sinh nữa.

Trả lời.

Vũ Thị Hoài Linh

Em không thể tin được là đã tìm thấy một bộ tài liệu ôn thi đầy đủ và chi tiết như thế này, sẽ không còn lo lắng về kỳ thi nữa.

Trả lời.

User Google

Tôi thấy xúc động khi nhận thấy có người chia sẻ tài liệu ôn thi như vậy, điều này thật sự là động viên và khích lệ đối với các em học sinh.

Trả lời.

long nguyễn

Em thấy rất biết ơn vì đã có cơ hội truy cập và tải xuống 16 đề ôn thi Toán lớp 12 này, chắc chắn sẽ hỗ trợ không ít cho kỳ thi sắp tới.

Trả lời.
Nhấn vào đây để đánh giá
Thông tin người gửi
4.39812 sec| 2475.797 kb