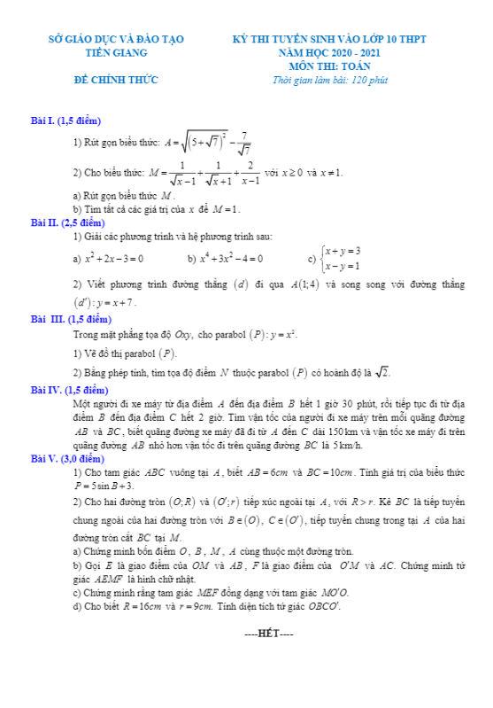
Chuyên đề chứng minh đẳng thức và tính giá trị biểu thức Nguyễn Quốc Bảo

Chuyên đề chứng minh đẳng thức và tính giá trị biểu thức Nguyễn Quốc Bảo
Mời thí sinh CLICK vào liên kết hoặc ảnh bên dưới Mở ứng dụng Shopee để tiếp tục làm bài thi
https://s.shopee.vn/AKN2JyAJAw
sytu.net và đội ngũ nhân viên xin chân thành cảm ơn!

Nội dung Chuyên đề chứng minh đẳng thức và tính giá trị biểu thức Nguyễn Quốc Bảo Bản PDF

Chuyên đề chứng minh đẳng thức và tính giá trị biểu thức - Nguyễn Quốc Bảo

Tài liệu này được biên soạn bởi thầy giáo Nguyễn Quốc Bảo, với mục đích hướng dẫn học sinh cách giải các dạng toán chuyên đề chứng minh đẳng thức và tính giá trị biểu thức. Tài liệu gồm 94 trang, phù hợp cho học sinh lớp 8, lớp 9 và cả những ai muốn ôn thi vào lớp 10 môn Toán.

Mục lục của tài liệu bao gồm các chủ đề sau:

Chủ đề I. Chứng minh đẳng thức

  • Dạng 1: Sử dụng phép biến đổi thương đương
  • Dạng 2: Sử dụng hằng đẳng thức quen biết
  • Dạng 3: Sử dụng phương pháp đổi biến
  • Dạng 4: Sử dụng bất đẳng thức
  • Dạng 5: Sử dụng lượng liên hợp
  • ... (và các dạng khác)

Chủ đề II. Tính giá trị biểu thức một biến

  • Dạng 1: Tính giá trị biểu thức chứa đa thức
  • Dạng 2: Tính giá trị biểu thức chứa căn thức
  • Dạng 3: Tính giá trị biểu thức có biến là nghiệm của phương trình
  • ... (và các dạng khác)

Chủ đề III. Tính giá trị biểu thức nhiều biến có điều kiện

  • Dạng 1: Sử dụng phương pháp phân tích
  • Dạng 2: Sử dụng phương pháp hệ số bất định
  • Dạng 3: Sử dụng phương pháp hình học
  • ... (và các dạng khác)

Mỗi chủ đề trong tài liệu đều được chia thành ba phần:

  1. Kiến thức cần nhớ: Tóm tắt những kiến thức cơ bản và bổ sung để giải các bài tập thuộc các dạng toán
  2. Một số ví dụ: Cung cấp ví dụ minh họa để học sinh hiểu rõ về kỹ năng và phương pháp giải
  3. Bài tập vận dụng: Hệ thống bài tập phân loại theo độ khó, bao gồm cả các bài tập từ đề thi học sinh giỏi và đề thi vào lớp 10 chuyên Toán

Tài liệu này sẽ giúp học sinh nắm vững kiến thức, rèn luyện kỹ năng giải toán, và chuẩn bị tốt cho kỳ thi sắp tới. Cùng với sự hướng dẫn cụ thể và ví dụ minh họa, việc ôn tập sẽ trở nên dễ dàng và hiệu quả hơn.

Bình luận (4)

Vy Trầnn

Đọc tài liệu này, em thấy vui và hứng khởi hơn với môn toán. Cảm ơn tác giả đã chia sẻ kiến thức bổ ích này!

Trả lời.

nguyen thi loan

Tài liệu này thực sự là một nguồn kiến thức hữu ích và giúp tôi tự tin hơn khi giải các bài toán chứng minh đẳng thức. Thật tuyệt vời!

Trả lời.

Dung Mỹ

Em thấy hết sức biết ơn vì tài liệu này giúp em giải quyết được nhiều bài toán khó trong môn toán học. Cảm ơn Nguyễn Quốc Bảo rất nhiều!

Trả lời.

Phạm Quỳnh Thy

Tôi rất phấn khích khi tìm thấy tài liệu này vì nó giúp tôi hiểu sâu hơn về chứng minh đẳng thức và tính giá trị biểu thức. Cảm giác thật tuyệt vời!

Trả lời.
Nhấn vào đây để đánh giá
Thông tin người gửi
1.20540 sec| 2477.625 kb