Chuyên đề quỹ tích ôn thi vào

Chuyên đề quỹ tích ôn thi vào
Mời thí sinh CLICK vào liên kết hoặc ảnh bên dưới Mở ứng dụng Shopee để tiếp tục làm bài thi
https://s.shopee.vn/AKN2JyAJAw
sytu.net và đội ngũ nhân viên xin chân thành cảm ơn!

Nội dung Chuyên đề quỹ tích ôn thi vào Bản PDF

Tài liệu ôn thi vào lớp 10 môn Toán

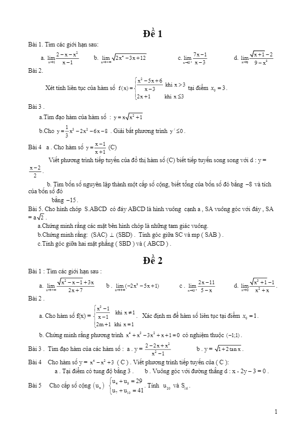
Tài liệu này bao gồm 52 trang, cung cấp phương pháp giải và bài tập chuyên đề về quỹ tích, kèm đáp án và lời giải chi tiết. Được thiết kế đặc biệt để giúp học sinh lớp 9 ôn tập và chuẩn bị cho kỳ thi tuyển sinh vào lớp 10 môn Toán. Các bài toán được chú trọng là những bài từ các đề thi uy tín, giúp học sinh làm quen với cấu trúc đề thi thật và nâng cao khả năng giải bài toán của mình.

Bình luận (5)

Lò Thị Phương Uyên

Em vui mừng khi có cơ hội tiếp cận với tài liệu này. Việc ôn tập trở nên thú vị hơn khi có những nguồn thông tin bổ ích như vậy.

Trả lời.

Bùi Phước

Việc tải về tài liệu này thực sự là một quyết định đúng đắn của tôi. Tôi tin chắc rằng nó sẽ giúp tôi đạt được kết quả tốt trong kỳ thi của mình.

Trả lời.

Mai Trang uwu

Em không thể không biết ơn với tài liệu này. Việc ôn tập được thuận lợi hơn với những thông tin chất lượng như vậy.

Trả lời.

Nhanh Ngoc

Tôi thật sự cảm động với sự chia sẻ của tác giả. Việc ôn tập những kiến thức này sẽ giúp tôi tự tin hơn trong kỳ thi sắp tới.

Trả lời.

Đặng Nguyễn Tiến Long

Em thấy rất phấn khích khi có cơ hội tải về tài liệu này. Chắc chắn em sẽ học hỏi được nhiều điều bổ ích từ nó.

Trả lời.
Nhấn vào đây để đánh giá
Thông tin người gửi
1.73603 sec| 2472.164 kb