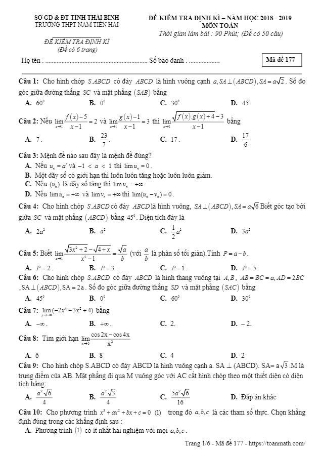
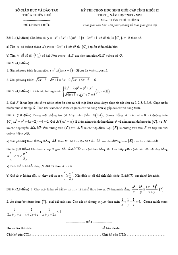
Đề chọn đội tuyển thi HSG QG môn Toán năm 2022 2023 sở GD ĐT Tiền Giang

Đề chọn đội tuyển thi HSG QG môn Toán năm 2022 2023 sở GD ĐT Tiền Giang
Mời thí sinh CLICK vào liên kết hoặc ảnh bên dưới Mở ứng dụng Shopee để tiếp tục làm bài thi
https://s.shopee.vn/AKN2JyAJAw
sytu.net và đội ngũ nhân viên xin chân thành cảm ơn!

Nội dung Đề chọn đội tuyển thi HSG QG môn Toán năm 2022 2023 sở GD ĐT Tiền Giang Bản PDF

Đề chọn đội tuyển thi HSG QG môn Toán năm 2022 2023 sở GD ĐT Tiền Giang:

Đề thi chọn đội tuyển thi HSG quốc gia môn Toán năm 2022 2023 do Sở Giáo dục và Đào tạo Tiền Giang tổ chức là cơ hội để các học sinh thể hiện khả năng và kiến thức của mình trong môn Toán. Việc tham gia đề thi này không chỉ giúp học sinh rèn luyện kỹ năng giải quyết vấn đề mà còn tạo ra cơ hội để họ thi đấu với các đối thủ cùng trình độ.

Bình luận (0)
Nhấn vào đây để đánh giá
Thông tin người gửi
1.79602 sec| 2400.047 kb