Đề chọn HSG lớp 11 môn Toán cấp trường năm 2019 2020 trường THPT chuyên Vĩnh Phúc

Đề chọn HSG lớp 11 môn Toán cấp trường năm 2019 2020 trường THPT chuyên Vĩnh Phúc

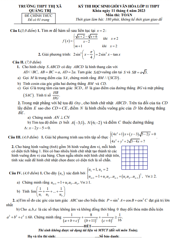
Nội dung Đề chọn HSG lớp 11 môn Toán cấp trường năm 2019 2020 trường THPT chuyên Vĩnh Phúc Bản PDF

Đề chọn HSG Toán lớp 11 môn Toán cấp trường năm 2019 - 2020 trường THPT chuyên Vĩnh Phúc

Sytu xin gửi đến quý thầy cô và các em học sinh đề chọn HSG Toán lớp 11 cấp trường năm học 2019-2020 của trường THPT chuyên Vĩnh Phúc. Đề bao gồm một trang với 5 bài toán dạng tự luận, thời gian làm bài thi là 180 phút.

Trích dẫn đề chọn HSG Toán lớp 11 cấp trường năm 2019 - 2020 trường THPT chuyên Vĩnh Phúc:

1. Cho hai số nguyên a và b. Chứng minh rằng nếu \(a^5 \equiv b^5 \pmod{97}\) thì \(a \equiv b \pmod{97}\).

2. Cho tam giác ABC nhọn nội tiếp đường tròn (O). Gọi I là tâm đường tròn nội tiếp tam giác. L, M, N lần lượt là các giao điểm thứ hai của AI, BI, CI với (O). Một đường tròn (w) thay đổi luôn đi qua I, L và cắt cạnh BC tại E, F (E nằm giữa B và F). Các đường thẳng LE, LF cắt (O) tại điểm P, Q.

a) Chứng minh rằng tứ giác EFQP nội tiếp và đường thẳng PQ luôn đi qua một điểm cố định khi đường tròn (w) thay đổi.

b) Đường thẳng PQ cắt AB, AC lần lượt tại H, K. Chứng minh rằng NH và MK cắt nhau tại một điểm nằm trên đường tròn (w).

3. Cho \(m \leq n\) là hai số nguyên dương và một bảng có kích thước \(m \times n\) gồm mn ô vuông đơn vị. Mỗi ô vuông có không quá một con kiến. Biết rằng với mỗi số nguyên dương k thuộc tập hợp {1, 2, 3, ..., 78}, tồn tại một hàng hoặc một cột trong bảng có đúng k con kiến.

a) Tìm giá trị nhỏ nhất có thể của m + n.

b) Tìm giá trị nhỏ nhất có thể của số con kiến trên bảng đã cho.

Bình luận (4)

Mai Thi Ngô Võ

Em thật sự cảm động khi thấy sự chuẩn bị kỹ lưỡng và chất lượng của đề thi này. Chúc mừng thầy/cô đã tạo ra một tài liệu tuyệt vời như vậy, mang lại nhiều giá trị cho việc học tập của các em học sinh.

Trả lời.

Đoạn Phạm Ngọc Thành

Tôi cảm thấy rất vui khi tìm thấy tài liệu này, nó giúp cho việc học Toán trở nên thú vị và hứng thú hơn. Mong rằng các em học sinh sẽ biết ơn và tận dụng tài liệu này để nâng cao kiến thức của mình.

Trả lời.

10CT2-07- Hồ Phương Duy

Đề thi này thật sự là một nguồn tư liệu hữu ích cho các em học sinh chuẩn bị cho kỳ thi HSG. Em thật sự phấn khích khi được tham gia vào việc ôn tập và làm bài tập từ tài liệu này.

Trả lời.

Minh Anh Trịnh

Tài liệu này thật tuyệt vời, đã giúp cho các em học sinh ôn tập Toán một cách hiệu quả. Cảm ơn thầy/cô rất nhiều vì đã chia sẻ tài liệu quý giá này.

Trả lời.
Nhấn vào đây để đánh giá
Thông tin người gửi
1.73899 sec| 2476.242 kb