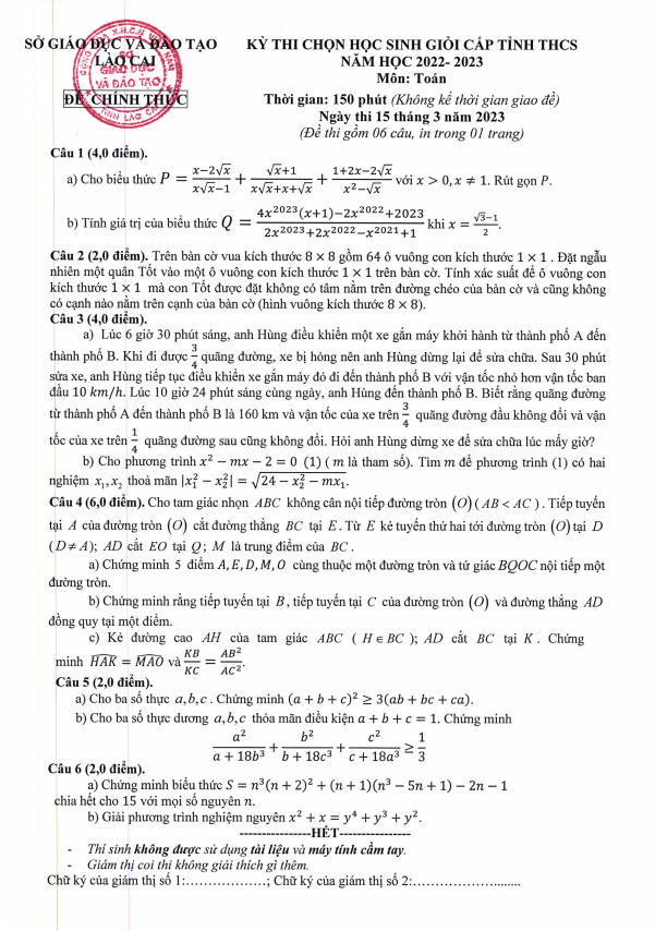
Đề chọn HSG lớp 9 môn Toán năm 2022 2023 phòng GD ĐT Quảng Trạch Quảng Bình

Đề chọn HSG lớp 9 môn Toán năm 2022 2023 phòng GD ĐT Quảng Trạch Quảng Bình
Mời thí sinh CLICK vào liên kết hoặc ảnh bên dưới Mở ứng dụng Shopee để tiếp tục làm bài thi
https://s.shopee.vn/AKN2JyAJAw
sytu.net và đội ngũ nhân viên xin chân thành cảm ơn!

Nội dung Đề chọn HSG lớp 9 môn Toán năm 2022 2023 phòng GD ĐT Quảng Trạch Quảng Bình Bản PDF

Đề chọn HSG lớp 9 môn Toán năm 2022-2023 phòng GD&ĐT Quảng Trạch Quảng Bình

Chúng tôi xin giới thiệu đến quý thầy cô và các em học sinh lớp 9 đề kiểm tra định kỳ chọn học sinh giỏi môn Toán lớp 9 năm học 2022-2023 phòng Giáo dục và Đào tạo huyện Quảng Trạch, tỉnh Quảng Bình. Kỳ thi sẽ diễn ra vào ngày 11 tháng 11 năm 2022.

Đề thi gồm các bài toán sau:

1. Cho tam giác ABC vuông tại A có đường cao AH (AB < AC và H thuộc BC). Trên tia HC lấy điểm D sao cho HA = HD. Qua D kẻ đường thẳng vuông góc với BC cắt AC tại E. a) Chứng minh rằng BEC và ADC đồng dạng, từ đó suy ra số đo góc AEB. b) Gọi M là trung điểm của BE. Tính số đo góc AHM. c) Tia AM cắt BC tại G. Chứng minh GB/BC = HD/(AH + HC).

2. Cho tam giác ABC nhọn (AB < AC) nội tiếp đường tròn (O), hai đường cao BE, CF cắt nhau tại H. Tia AO cắt đường tròn (O) tại D. a) Chứng minh các điểm B, C, E, F thuộc một đường tròn. b) Gọi M là trung điểm của BC, tia AM cắt HO tại G. Chứng minh G là trọng tâm của tam giác ABC.

3. Cho n là số nguyên dương. Chứng minh rằng nếu 2n + 1 và 3n + 1 là các số chính phương thì 5n + 3 không phải là số nguyên tố.

Đây là những bài toán đa dạng, đòi hỏi sự tư duy logic và khả năng suy luận của các em học sinh. Chúc các em ôn tập tốt và thành công trong kỳ thi sắp tới!

Bình luận (5)

NgocLoan Bùi

Em rất háo hức khi download file pdf của Đề chọn HSG lớp 9 môn Toán. Sớm ôn tập và chuẩn bị cho kỳ thi thật tốt!

Trả lời.

toàn trịnh

Tôi rất hạnh phúc khi thấy sự quan tâm và chia sẻ của các thầy cô trong việc tạo ra Đề chọn HSG lớp 9 môn Toán. Cảm ơn mọi người rất nhiều!

Trả lời.

Đức Hải

Em biết ơn sự chuẩn bị kỹ lưỡng của phòng GD ĐT Quảng Trạch Quảng Bình khi cung cấp tài liệu này. Chắc chắn sẽ giúp em tự tin hơn khi thi.

Trả lời.

HorrendousSushi

Tôi cảm động khi thấy các giáo viên và tổ chức tạo ra tài liệu này để hỗ trợ học sinh trong việc ôn tập và chuẩn bị cho kỳ thi HSG.

Trả lời.

Ly Phung

Em thấy phấn khích khi biết có file pdf download của Đề chọn HSG lớp 9 môn Toán. Chắc chắn sẽ rất hữu ích cho việc ôn tập của em.

Trả lời.
Nhấn vào đây để đánh giá
Thông tin người gửi
1.65202 sec| 2475.383 kb