Đề cuối học kì 1 (HK1) lớp 12 môn Toán năm 2023 2024 trường THPT Nhữ Văn Lan Hải Phòng

Đề cuối học kì 1 (HK1) lớp 12 môn Toán năm 2023 2024 trường THPT Nhữ Văn Lan Hải Phòng

Nội dung Đề cuối học kì 1 (HK1) lớp 12 môn Toán năm 2023 2024 trường THPT Nhữ Văn Lan Hải Phòng Bản PDF

Đề cuối học kỳ 1 Toán lớp 12 năm học 2023 - 2024 trường THPT Nhữ Văn Lan - Hải Phòng

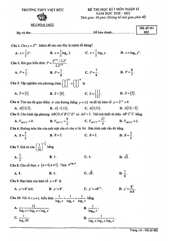
Sytu xin được giới thiệu đến quý thầy, cô giáo và các em học sinh lớp 12 đề kiểm tra cuối học kỳ 1 môn Toán lớp 12 năm học 2023 - 2024 trường THPT Nhữ Văn Lan, thành phố Hải Phòng. Đề thi bao gồm câu hỏi và đáp án cùng hướng dẫn chấm điểm cho các em tự ôn tập.

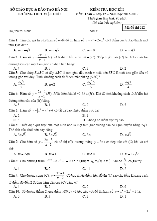
Trong đề thi, có một câu hỏi như sau: "Cho hình chóp tam giác S.ABC có đáy ABC là tam giác vuông tại C, AB = a, BC = 3". Câu hỏi này yêu cầu học sinh áp dụng kiến thức về hình học không gian để giải quyết vấn đề.

Với sự phong phú và đa dạng của câu hỏi, Đề cuối học kỳ 1 Toán lớp 12 năm học 2023 - 2024 trường THPT Nhữ Văn Lan - Hải Phòng chắc chắn sẽ giúp các em học sinh ôn tập hiệu quả và tự tin hơn khi bước vào kỳ thi. Hy vọng rằng đề thi sẽ giúp các em đạt được kết quả tốt trong môn Toán.

Bình luận (5)

Nguyễn Lan Anh

Em không thể không cảm ơn vì tài liệu đề cuối học kì 1 môn Toán đã giúp em có thêm nguồn tư liệu ôn tập chất lượng. Em sẽ dành thời gian ôn tập cẩn thận để đạt kết quả tốt nhất trong kỳ thi sắp tới!

Trả lời.

Nguyễn Quỳnh anh

Tôi cảm thấy rất hạnh phúc khi thấy trường đã chuẩn bị đề cuối học kì 1 môn Toán cho các em học sinh. Điều này chắc chắn sẽ giúp các em tự tin hơn khi thi cử.

Trả lời.

Minh Thuỳ Dương

Tài liệu này thật sự là một món quà quý giá dành cho các em học sinh. Chúng giúp các em tự tin hơn khi đối diện với kỳ thi cuối kì. Em sẽ không bỏ lỡ cơ hội ôn tập từ tài liệu này!

Trả lời.

chau nguyen

Mình rất vui khi thấy trường đã chia sẻ đề cuối học kì 1 môn Toán cho học sinh. Điều này thể hiện sự chu đáo và quan tâm đến việc học tập của học sinh.

Trả lời.

ngoc bao

Tài liệu này thực sự hữu ích đối với các em học sinh lớp 12, giúp họ nắm vững kiến thức và rèn luyện kỹ năng giải toán. Em sẽ chắc chắn tải về và ôn tập cẩn thận!

Trả lời.
Nhấn vào đây để đánh giá
Thông tin người gửi
1.18983 sec| 2474.148 kb