Đề cương giữa học kì 1 (HK1) lớp 7 môn Toán năm 2022 2023 trường THCS thị trấn Văn Điển Hà Nội

Đề cương giữa học kì 1 (HK1) lớp 7 môn Toán năm 2022 2023 trường THCS thị trấn Văn Điển Hà Nội

Nội dung Đề cương giữa học kì 1 (HK1) lớp 7 môn Toán năm 2022 2023 trường THCS thị trấn Văn Điển Hà Nội Bản PDF

Đề cương giữa học kì 1 (HK1) lớp 7 môn Toán năm 2022 2023 trường THCS thị trấn Văn Điển Hà Nội

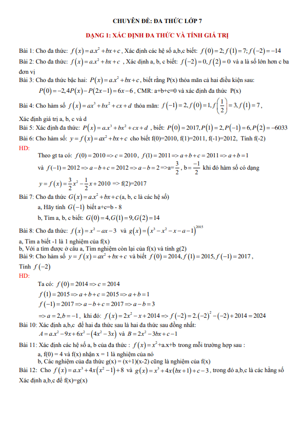
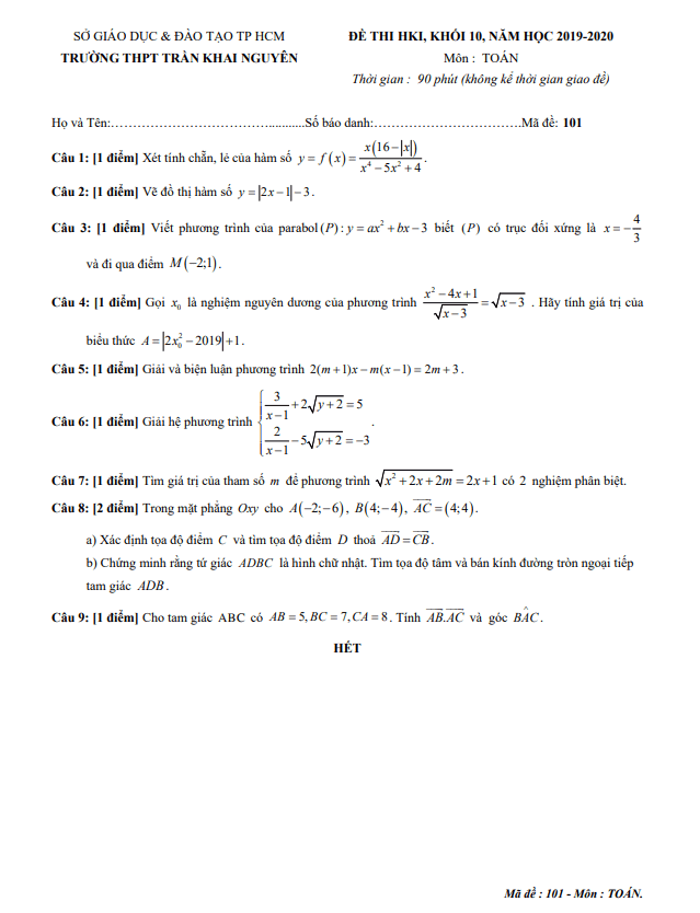
Sytu xin gửi đến thầy cô và các em học sinh lớp 7 tài liệu đề cương hướng dẫn ôn tập giữa học kì 1 môn Toán lớp 7 năm học 2022 – 2023 tại trường THCS thị trấn Văn Điển, huyện Thanh Trì, thành phố Hà Nội. Bộ đề cương này sẽ giúp các em ôn tập hiệu quả, chuẩn bị tốt nhất cho kì thi sắp tới.

Bình luận (5)

My Xuân

Em sẽ cố gắng ôn tập và làm bài tập theo hướng dẫn trong đề cương để chuẩn bị tốt cho kỳ thi giữa học kì lớp 7. Cảm ơn nhà trường và giáo viên rất nhiều!

Trả lời.

Nguyễn Dư

Tôi hy vọng rằng đề cương giữa học kì 1 môn Toán này sẽ giúp học sinh đạt kết quả tốt trong kỳ thi sắp tới.

Trả lời.

giang hoang

Em thấy rất hạnh phúc vì được học tại trường có sự chuẩn bị chu đáo như vậy, giúp em phát triển năng lực và kiến thức hơn.

Trả lời.

Nguyễn Lan Vy

Tôi tin rằng việc có đề cương giữa học kì 1 môn Toán này sẽ giúp học sinh nắm vững kiến thức và tự tin hơn khi tham gia kỳ thi.

Trả lời.

Thùy Dương Phan Vũ

Em rất cảm động khi nhận được sự quan tâm và chu đáo từ nhà trường khi cung cấp đề cương giữa học kì 1 môn Toán cho học sinh.

Trả lời.
Nhấn vào đây để đánh giá
Thông tin người gửi
1.20545 sec| 2473.57 kb