Đề cương ôn tập giữa học kì 1 (HK1) lớp 6 môn Toán năm 2021 2022 trường Nguyễn Tất Thành Hà Nội

Đề cương ôn tập giữa học kì 1 (HK1) lớp 6 môn Toán năm 2021 2022 trường Nguyễn Tất Thành Hà Nội

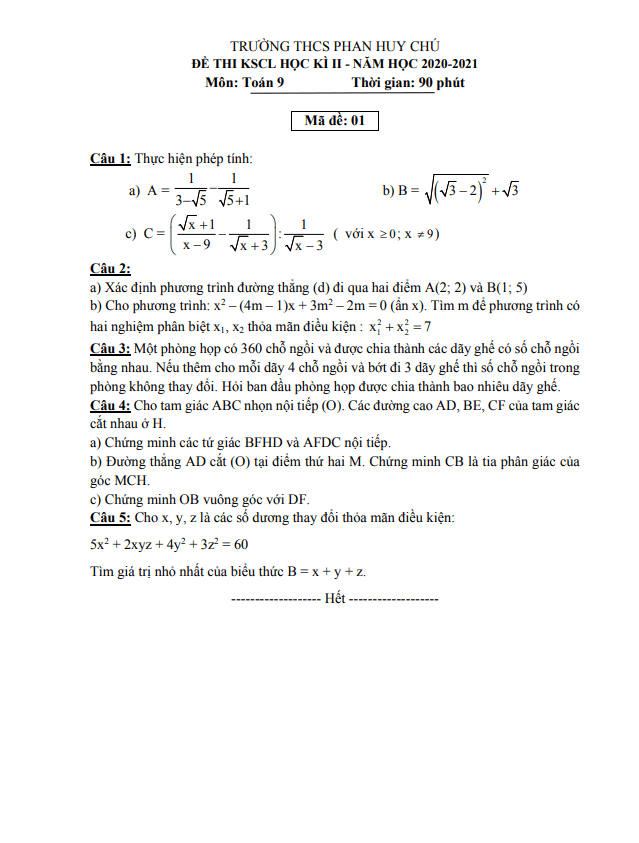
Nội dung Đề cương ôn tập giữa học kì 1 (HK1) lớp 6 môn Toán năm 2021 2022 trường Nguyễn Tất Thành Hà Nội Bản PDF

Đề cương ôn tập giữa học kì 1 (HK1) lớp 6 môn Toán năm 2021 2022 trường Nguyễn Tất Thành Hà Nội

Xin được gửi đến quý thầy cô và các em học sinh lớp 6 tài liệu ôn tập giữa học kì 1 môn Toán năm học 2021 – 2022 tại trường THCS & THPT Nguyễn Tất Thành, Hà Nội.

I. Phạm vi ôn tập:

- Số học: Từ đầu đến bài “Số nguyên tố, hợp số”.

- Hình học: Từ đầu đến bài “Hình bình hành”.

II. Bài tập tham khảo:

A. Trắc nghiệm

B. Tự luận

Dạng 1: Toán về tập hợp.

Dạng 2: Thực hiện phép tính.

Dạng 3: Bài toán có lời văn.

Dạng 4: Quan hệ chia hết, số nguyên tố, hợp số.

Dạng 5: Hình học.

C. Đáp án tham khảo.

Hy vọng rằng tài liệu trên sẽ giúp các em học sinh lớp 6 ôn tập hiệu quả và tự tin hơn trong việc học tập. Chúc quý thầy, cô và các em có một kì học thành công!

Bình luận (5)

Chanh Ngu

Em rất vui khi có cơ hội tham gia ôn tập theo đề cương được cung cấp. Điều này giúp em tự tin hơn khi học môn Toán và có kế hoạch học tập rõ ràng hơn.

Trả lời.

Hoàng Ni Ngô

Tôi tin rằng việc sử dụng đề cương ôn tập này sẽ giúp học sinh nắm vững kiến thức và tự tin hơn khi làm bài kiểm tra. Đây là một bước tiến quan trọng trong việc nâng cao chất lượng giáo dục.

Trả lời.

Tiểu Bảo

Đọc qua đề cương ôn tập, em cảm thấy hứng khởi và muốn tập trung hơn vào việc học môn Toán. Cảm ơn trường Nguyễn Tất Thành Hà Nội đã tạo điều kiện tốt cho việc học tập của em.

Trả lời.

Anh Ngọc

Tôi không thể không bày tỏ sự vui mừng khi thấy trường Nguyễn Tất Thành Hà Nội chuẩn bị đề cương ôn tập chất lượng như vậy cho học sinh. Điều này thật sự là một điểm sáng trong công tác giáo dục.

Trả lời.

Lê Thị Phương Anh

Em rất biết ơn vì đã có đề cương ôn tập chi tiết và dễ hiểu như vậy. Điều này giúp em tự tin hơn trong việc ôn tập và tự học môn Toán.

Trả lời.
Nhấn vào đây để đánh giá
Thông tin người gửi
0.96578 sec| 2474.016 kb