Đề giao lưu HSG lớp 6 môn Toán năm 2022 2023 phòng GD ĐT Vĩnh Lộc Thanh Hóa

Đề giao lưu HSG lớp 6 môn Toán năm 2022 2023 phòng GD ĐT Vĩnh Lộc Thanh Hóa
Mời thí sinh CLICK vào liên kết hoặc ảnh bên dưới Mở ứng dụng Shopee để tiếp tục làm bài thi
https://s.shopee.vn/AKN2JyAJAw
sytu.net và đội ngũ nhân viên xin chân thành cảm ơn!

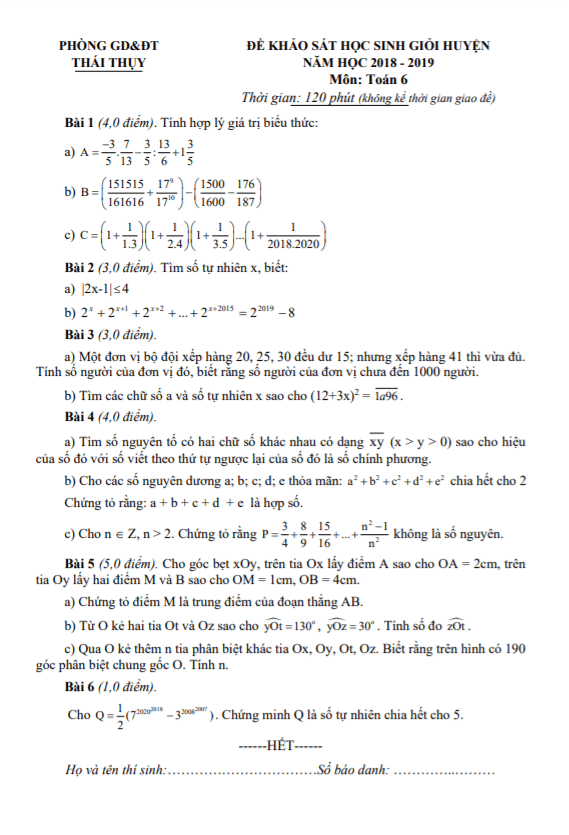
Nội dung Đề giao lưu HSG lớp 6 môn Toán năm 2022 2023 phòng GD ĐT Vĩnh Lộc Thanh Hóa Bản PDF

Đề giao lưu HSG lớp 6 môn Toán năm 2022 2023 phòng GD ĐT Vĩnh Lộc Thanh Hóa

Xin chào quý thầy cô giáo và các em học sinh lớp 6! Sytu xin giới thiệu đến các bạn đề giao lưu học sinh giỏi môn Toán lớp 6 năm học 2022 - 2023 của cụm Trung học Cơ sở phòng Giáo dục và Đào tạo UBND huyện Vĩnh Lộc, tỉnh Thanh Hóa. Đề thi được thiết kế với đầy đủ đáp án, lời giải chi tiết và hướng dẫn chấm điểm, giúp các em ôn tập và kiểm tra kiến thức.

Đề giao lưu bao gồm các câu hỏi thú vị như:

  1. Tìm số tự nhiên n sao cho 2n + 3n = 5n
  2. Tìm số nguyên x, y biết x2y – x + xy = 6
  3. Tính độ dài đoạn thẳng MN trên tia Ox, với OM = 3cm, ON = 7cm
  4. Tính số đường thẳng qua 30 điểm, trong đó có 5 điểm thẳng hàng
  5. Tính diện tích hình chữ nhật ABCD, biết BE = CE = CF = 1/3 CD và diện tích tam giác AEF là 50cm2
  6. Chứng minh rằng 2^n x m không là số chính phương, với n là số nguyên dương và m là ước nguyên dương của 2^n

Hãy tham gia kỳ thi giao lưu vào ngày 22 tháng 03 năm 2023 để thử thách kiến thức và kỹ năng của mình. Chúc các em ôn tập hiệu quả và giành được kết quả tốt trong kỳ thi sắp tới!

Bình luận (5)

xxx

Em mong rằng tất cả các em học sinh sẽ có cơ hội tham gia và cống hiến tinh thần cùng nhau trong cuộc thi giao lưu HSG này.

Trả lời.

Nguyễn Việt Anh

Tôi rất hạnh phúc khi biết được sự quan tâm và chăm sóc của nhà trường dành cho học sinh, tạo điều kiện để họ phát triển toàn diện.

Trả lời.

Gia Bảo Lưu

Tài liệu này giúp cho học sinh có thêm nguồn tư liệu học tập và rèn luyện kỹ năng giải đề một cách hiệu quả, thật tuyệt vời!

Trả lời.

Tho Trieu

Em mong muốn có cơ hội tham gia sự kiện này, để thử sức và cùng đồng đội tạo nên những trải nghiệm vô cùng ý nghĩa.

Trả lời.

Trần Minh Khuê

Tôi thật sự biết ơn sự chuẩn bị và tổ chức chặt chẽ của phòng GD ĐT Vĩnh Lộc Thanh Hóa, giúp cho học sinh có cơ hội thể hiện tài năng của mình.

Trả lời.
Nhấn vào đây để đánh giá
Thông tin người gửi
1.27305 sec| 2475.289 kb