Đề giao lưu HSG lớp 7 môn Toán năm 2022 2023 phòng GD ĐT Vĩnh Lộc Thanh Hóa

Đề giao lưu HSG lớp 7 môn Toán năm 2022 2023 phòng GD ĐT Vĩnh Lộc Thanh Hóa
Mời thí sinh CLICK vào liên kết hoặc ảnh bên dưới Mở ứng dụng Shopee để tiếp tục làm bài thi
https://s.shopee.vn/AKN2JyAJAw
sytu.net và đội ngũ nhân viên xin chân thành cảm ơn!

Nội dung Đề giao lưu HSG lớp 7 môn Toán năm 2022 2023 phòng GD ĐT Vĩnh Lộc Thanh Hóa Bản PDF

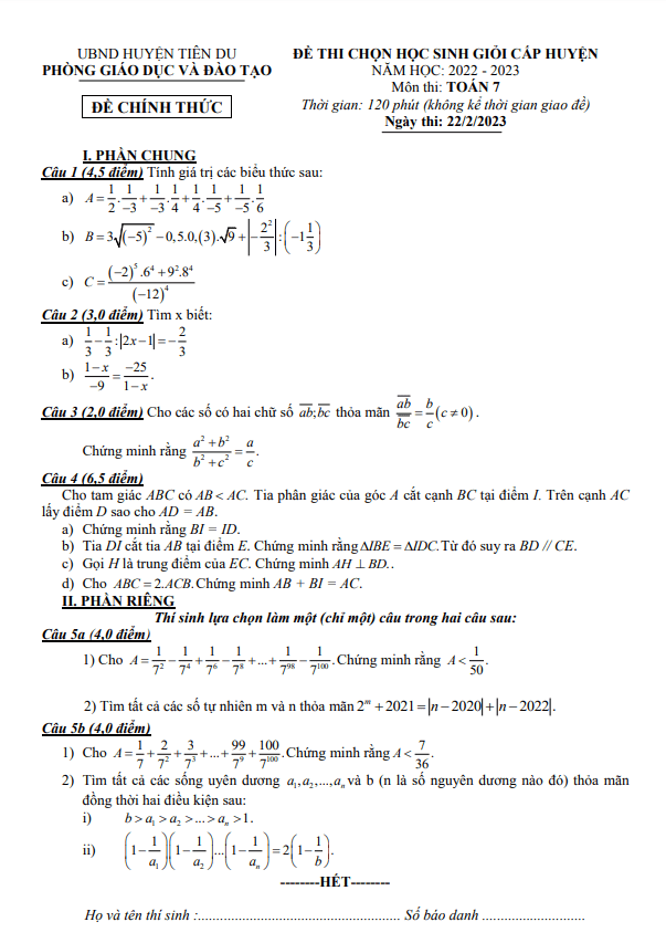
Đề giao lưu HSG lớp 7 môn Toán năm 2022-2023 phòng GD ĐT Vĩnh Lộc Thanh Hóa

Sytu xin kính chào quý thầy cô giáo và các em học sinh lớp 7. Đến với đề giao lưu học sinh giỏi môn Toán lớp 7 năm học 2022-2023 của cụm Trung học Cơ sở phòng Giáo dục và Đào tạo UBND huyện Vĩnh Lộc, tỉnh Thanh Hóa. Đề thi sẽ đi kèm đáp án, lời giải chi tiết và hướng dẫn chấm điểm. Kỳ thi sẽ diễn ra vào ngày 22 tháng 03 năm 2023.

Trích đề giao lưu HSG Toán lớp 7 năm 2022-2023 phòng GD&ĐT Vĩnh Lộc - Thanh Hóa:

  • Ba lớp 7A, 7B, 7C mua gói tăm từ thiện. Ban đầu, số gói tăm dự định chia cho ba lớp theo tỉ lệ 5:6:7, nhưng sau đó chia theo tỉ lệ 4:5:6, nên một lớp nhận nhiều hơn 12 gói so với dự định. Tính tổng số gói tăm mà ba lớp đã mua.
  • Cho tam giác ABC vuông tại A. Vẽ các tam giác đều ABD và ACE về phía ngoài tam giác ABC. Gọi I là giao điểm của BE và CD. Chứng minh rằng:
    1. Tam giác ABE bằng tam giác ADC
    2. DE = BE
    3. Góc EIC bằng 60 độ và IA là tia phân giác của góc DIE.
  • Cho f(x) là đa thức hệ số nguyên, thoả mãn f(0) = 0 và f(1) = 2. Chứng minh rằng f(7) không thể là số chính phương.
  • Cho hai số nguyên tố khác nhau p và q. Chứng minh rằng:
    1/p + 1/q - 1/pq là số nguyên.

File WORD (dành cho quý thầy cô): [đính kèm file Word]

Bình luận (5)

Trần Thị Thùy Linh

Tôi tin rằng tài liệu này sẽ giúp học sinh lớp 7 rèn luyện tư duy logic và kỹ năng giải bài toán hiệu quả hơn. Cảm ơn phòng GD ĐT Vĩnh Lộc Thanh Hóa đã biên soạn và chia sẻ tài liệu này!

Trả lời.

Nguyễn Đình Tài

Em không thể nhịn được cảm xúc khi tìm thấy tài liệu này, điều này làm cho em tự tin hơn trong việc chuẩn bị cho kỳ thi sắp tới.

Trả lời.

Khánh Linh

Tôi cảm thấy biết ơn đến nhà trường đã tổ chức đề giao lưu này và cung cấp tài liệu hữu ích cho học sinh.

Trả lời.

Lợi Đỗ Minh

Em thấy rất vui khi có cơ hội tham gia vào đề giao lưu và được học tập từ những bài toán mới và thú vị trong tài liệu này.

Trả lời.

Phạm Trọng Trường Duy

Tôi rất phấn khích khi tìm được tài liệu này, nó giúp học sinh lớp 7 ôn tập và chuẩn bị tốt cho kì thi HSG môn Toán.

Trả lời.
Nhấn vào đây để đánh giá
Thông tin người gửi
0.97749 sec| 2475.539 kb