Đề học kì 1 (HK1) lớp 12 môn Toán năm 2023 2024 trường THPT Yên Định 1 Thanh Hóa

Đề học kì 1 (HK1) lớp 12 môn Toán năm 2023 2024 trường THPT Yên Định 1 Thanh Hóa
Mời thí sinh CLICK vào liên kết hoặc ảnh bên dưới Mở ứng dụng Shopee để tiếp tục làm bài thi
https://s.shopee.vn/AKN2JyAJAw
sytu.net và đội ngũ nhân viên xin chân thành cảm ơn!

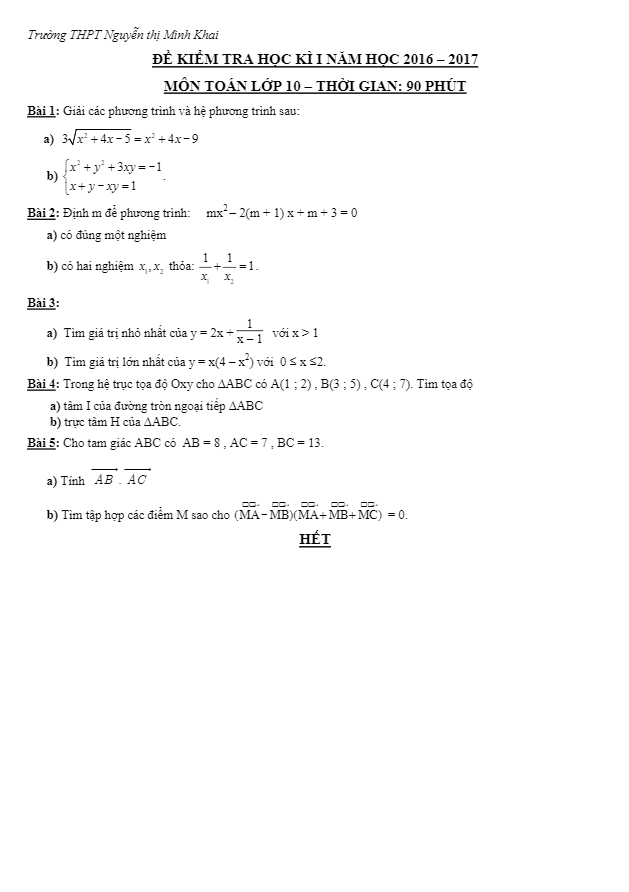
Nội dung Đề học kì 1 (HK1) lớp 12 môn Toán năm 2023 2024 trường THPT Yên Định 1 Thanh Hóa Bản PDF

Đề học kì 1 Toán lớp 12 năm học 2023 - 2024 trường THPT Yên Định 1

Xin chào quý thầy cô và các em học sinh lớp 12! Hôm nay, Sytu xin giới thiệu đến các bạn bộ đề thi cuối học kì 1 môn Toán lớp 12 năm học 2023 - 2024 của trường THPT Yên Định 1, Thanh Hóa. Đề thi này bao gồm mã đề 101 - 102 và có đáp án đầy đủ.

Trích dẫn một số câu hỏi thú vị trong đề thi:

  1. Cho tam giác đều ABC có cạnh bằng 10. Gọi H là chân đường cao từ đỉnh A. Khi quay tam giác ABC xung quanh đường cao AH, chúng ta sẽ tạo ra một hình nón tròn xoay. Hãy tính diện tích xung quanh Sxq của hình nón đó.
  2. Đường cong trong hình là đồ thị của một hàm số trong bốn hàm số được liệt kê ở đáp án A, B, C, D. Hỏi hàm số đó là hàm số nào?
  3. Hàm số y = x3 - 2x2 + 3x - 95 có bao nhiêu điểm cực trị?

Với những câu hỏi thú vị và ý nghĩa như vậy, đề thi học kì 1 Toán lớp 12 năm học 2023 - 2024 trường THPT Yên Định 1 chắc chắn sẽ giúp các em học sinh rèn luyện và nâng cao kiến thức Toán của mình. Hãy tập trung, làm bài thật tốt và đạt kết quả cao!

Bình luận (5)

Trung Hieu Nguyen

Em sẽ tận dụng cơ hội này để thử sức mình và học hỏi từ những bài toán thú vị trong đề học kì 1 năm 2023-2024 của trường THPT Yên Định 1 Thanh Hóa.

Trả lời.

Hoàng Trần

Tôi tin rằng việc tham gia bài kiểm tra với đề học kì 1 sẽ giúp học sinh rèn luyện kỹ năng làm bài và nắm vững kiến thức.

Trả lời.

Phong Nghĩa

Em muốn chia sẻ với Bạn bè để cùng nhau ôn tập và giải đề học kì 1 môn Toán. Cùng nhau học hỏi và tiến bộ!

Trả lời.

Vày Ngọc Thanh Tâm 6a5

Tôi hy vọng đề học kì 1 này sẽ giúp học sinh ôn tập và tự kiểm tra kiến thức một cách hiệu quả.

Trả lời.

Mai Nguyễn Thị Thanh

Em sẽ nỗ lực giải đề này để kiểm tra xem mình đã nắm vững những kiến thức cần thiết cho môn Toán hay chưa.

Trả lời.
Nhấn vào đây để đánh giá
Thông tin người gửi
1.33354 sec| 2474.93 kb