Đề học kì 1 (HK1) lớp 8 môn Toán năm 2023 2024 phòng GD ĐT Hà Trung Thanh Hóa

Đề học kì 1 (HK1) lớp 8 môn Toán năm 2023 2024 phòng GD ĐT Hà Trung Thanh Hóa
Mời thí sinh CLICK vào liên kết hoặc ảnh bên dưới Mở ứng dụng Shopee để tiếp tục làm bài thi
https://s.shopee.vn/AKN2JyAJAw
sytu.net và đội ngũ nhân viên xin chân thành cảm ơn!

Nội dung Đề học kì 1 (HK1) lớp 8 môn Toán năm 2023 2024 phòng GD ĐT Hà Trung Thanh Hóa Bản PDF

Đề học kì 1 Toán lớp 8 năm 2023 – 2024 phòng GD&ĐT Hà Trung – Thanh Hóa

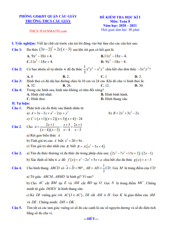
Chúng tôi xin giới thiệu đến quý thầy cô và các em học sinh lớp 8 bài khảo sát chất lượng cuối học kỳ 1 môn Toán năm học 2023 – 2024 từ phòng Giáo dục và Đào tạo UBND huyện Hà Trung, tỉnh Thanh Hóa. Đề thi này bao gồm đáp án và hướng dẫn chấm điểm.

Một số nội dung trong đề bao gồm:
- Bảng thống kê điểm bài kiểm tra giữa kỳ môn Toán của lớp 8A, chỉ ra số lượng học sinh đạt các mức điểm Giỏi, Khá, Trung bình, Yếu.
- Yêu cầu lựa chọn biểu đồ phù hợp để biểu diễn bảng thống kê trên và vẽ biểu đồ đó.
- Bài toán về tam giác △ABC, với điểm M trung điểm của AB, điểm N trung điểm của AC. Phần câu hỏi yêu cầu chứng minh loại hình tứ giác của MNCB, tính chất của tứ giác AICK và điểm K.
- Yêu cầu chứng minh một phép toán trong tam giác IB. NC = IC . MB.

Đây là một đề thi đa dạng và bám sát chương trình học, giúp học sinh rèn luyện kỹ năng giải bài toán và hiểu biết vững về kiến thức Toán học.

File Word chứa đầy đủ nội dung đề thi và phù hợp cho quý thầy cô tham khảo và sử dụng trong quá trình giảng dạy.

Chúng tôi hy vọng rằng đề thi này sẽ giúp các em học sinh lớp 8 nắm vững kiến thức và chuẩn bị tốt cho kỳ thi học kỳ 1.
Bình luận (5)

minhduc ngo

Em rất biết ơn và trân trọng công sức của các tác giả đã biên soạn tài liệu đề học kì 1 môn Toán lớp 8 năm 2023 2024. Đây sẽ giúp em có thêm kiến thức và kỹ năng để đạt được kết quả tốt trong kỳ thi.

Trả lời.

miedchy

Tôi rất phấn khích và háo hức khi thấy tài liệu đề học kì 1 môn Toán lớp 8 năm 2023 2024. Đây là cơ hội tuyệt vời để học sinh tự rèn luyện và nâng cao kiến thức của mình.

Trả lời.

Trang Thu

Em cảm thấy rất vui và hồi hộp khi có cơ hội tải về tài liệu đề học kì 1 môn Toán lớp 8 năm 2023 2024 này. Cảm ơn phòng GD ĐT Hà Trung Thanh Hóa đã chia sẻ tài liệu hữu ích này.

Trả lời.

Minh Thành

Tôi xin chân thành cảm ơn ban biên soạn đã tạo ra tài liệu đề học kì 1 môn Toán lớp 8 năm 2023 2024 này. Đây là nguồn tư liệu quý giá giúp học sinh rèn luyện kỹ năng và kiến thức.

Trả lời.

Phạm Thị Ngọc Ánh

Em rất hứng thú khi thấy tài liệu đề học kì 1 môn Toán lớp 8 năm 2023 2024 phòng GD ĐT Hà Trung Thanh Hóa. Đây sẽ là công cụ hữu ích giúp em ôn tập và chuẩn bị cho kỳ thi sắp tới.

Trả lời.
Nhấn vào đây để đánh giá
Thông tin người gửi
1.26309 sec| 2475.227 kb