Đề học kì 1 (HK1) lớp 9 môn Toán năm 2023 2024 phòng GD ĐT Tây Hồ Hà Nội

Đề học kì 1 (HK1) lớp 9 môn Toán năm 2023 2024 phòng GD ĐT Tây Hồ Hà Nội
Mời thí sinh CLICK vào liên kết hoặc ảnh bên dưới Mở ứng dụng Shopee để tiếp tục làm bài thi
https://s.shopee.vn/AKN2JyAJAw
sytu.net và đội ngũ nhân viên xin chân thành cảm ơn!

Nội dung Đề học kì 1 (HK1) lớp 9 môn Toán năm 2023 2024 phòng GD ĐT Tây Hồ Hà Nội Bản PDF

Đề học kì 1 môn Toán lớp 9 năm 2023 – 2024

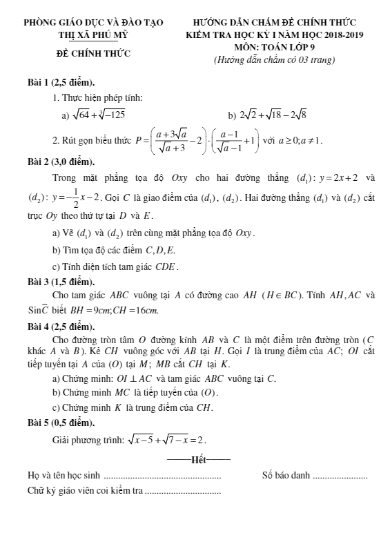
Xin chào quý thầy cô giáo và các em học sinh lớp 9! Đây là đề kiểm tra cuối học kỳ 1 môn Toán lớp 9 năm học 2023 – 2024 do phòng Giáo dục và Đào tạo quận Tây Hồ, thành phố Hà Nội soạn thảo.

Trích dẫn Đề học kỳ 1 Toán lớp 9 năm 2023 – 2024 phòng GD&ĐT Tây Hồ – Hà Nội:

+ Bài toán 1: Đường thẳng d được xét qua hàm số y = (2m + 1)x − 3 với điều kiện m khác -1/2. Yêu cầu a) vẽ đồ thị hàm số khi m = 1, b) tìm m để đường thẳng d song song với đường thẳng (d1): y = -5x + 1, c) tìm m để d cắt Ox tại A, cắt Oy tại B sao cho góc OAB bằng 60 độ.

+ Bài toán 2: Một chiếc thang dài 3,5 mét. Cần đặt chân thang cách chân tường một khoảng cách bằng bao nhiêu để nó tạo được với mặt đất một góc "an toàn" là 70 độ. Kết quả làm tròn đến mét.

+ Bài toán 3: Cho đường tròn (O;R). Từ một điểm M ở bên ngoài đường tròn kẻ tiếp tuyến MA, MB với đường tròn. Gọi H là giao điểm của MO và dây AB. Yêu cầu a) chứng minh 4 điểm M, A, O, B cùng nằm trên một đường tròn, b) chứng minh MB.BC = BK.MO, c) chứng minh I là trung điểm của BK.

Hy vọng rằng đề thi sẽ giúp các em ôn tập và chuẩn bị tốt cho kỳ thi sắp tới. Chúc các em thành công!

Bình luận (4)

lê đức lĩnh lê

Em cảm động trước sự chuẩn bị kỹ lưỡng của nhà trường khi cung cấp Đề học kì 1 lớp 9 môn Toán, giúp em có điểm số tốt hơn trong kỳ thi.

Trả lời.

Hưng Yên

Tôi rất biết ơn phòng GD ĐT Tây Hồ Hà Nội đã chia sẻ tài liệu cần thiết cho học sinh, giúp họ tự tin hơn khi học tập.

Trả lời.

Vu Nguyen

Em cảm thấy phấn khích khi tìm thấy file pdf download của Đề học kì 1 lớp 9 Toán, giúp em nắm vững kiến thức và rèn luyện kỹ năng giải đề.

Trả lời.

Nguyễn Đan Hân

Tôi rất vui khi có tài liệu Đề học kì 1 lớp 9 môn Toán năm 2023 2024 để giúp học sinh ôn tập chuẩn bị cho kì thi sắp tới.

Trả lời.
Nhấn vào đây để đánh giá
Thông tin người gửi
1.32498 sec| 2475.461 kb