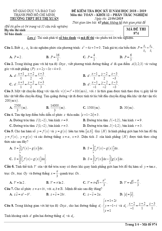
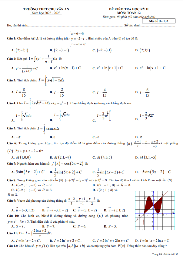
Đề học kì 2 (HK2) lớp 12 môn Toán năm 2022 2023 trường THPT Kim Liên Hà Nội

Đề học kì 2 (HK2) lớp 12 môn Toán năm 2022 2023 trường THPT Kim Liên Hà Nội
Mời thí sinh CLICK vào liên kết hoặc ảnh bên dưới Mở ứng dụng Shopee để tiếp tục làm bài thi
https://s.shopee.vn/AKN2JyAJAw
sytu.net và đội ngũ nhân viên xin chân thành cảm ơn!

Nội dung Đề học kì 2 (HK2) lớp 12 môn Toán năm 2022 2023 trường THPT Kim Liên Hà Nội Bản PDF

Đề thi học kì 2 Toán lớp 12 năm 2022-2023 trường THPT Kim Liên Hà Nội

Chào các thầy cô giáo và các bạn học sinh lớp 12, dưới đây là đề kiểm tra cuối học kỳ 2 môn Toán lớp 12 năm học 2022-2023 của trường THPT Kim Liên, Hà Nội. Đề thi bao gồm các câu hỏi trắc nghiệm mã đề 101 - 102 - 103 - 104.

1. Trong không gian Oxyz, cho mặt phẳng P có phương trình x + y - z = 0 và hai điểm A(1, 2, 3) và B(1, 2, 5). Tìm tọa độ của điểm M thuộc mặt phẳng P sao cho góc giữa AM và BM luôn bằng nhau, biết rằng M luôn nằm trên một đường tròn cố định. Xác định tọa độ của tâm của đường tròn đó.

2. Cho hàm số y = f(x) có đạo hàm liên tục trên R và đồ thị như trong hình vẽ. Biết S1, S2, S3 lần lượt là diện tích các hình phẳng được tô màu với giá trị tương ứng là 9, 7, 9. Tính ∫(2x∙f(x))dx khi đã biết điều kiện trên.

3. Ký hiệu z1, z2 là hai nghiệm của phương trình 2z^2 - 9 = 0. Gọi M, N lần lượt là điểm biểu diễn của z1, z2 trên mặt phẳng tọa độ. Tính độ dài OM và ON với O là gốc tọa độ.

Bình luận (0)
Nhấn vào đây để đánh giá
Thông tin người gửi
1.52643 sec| 2403.055 kb