Đề học sinh giỏi huyện lớp 7 môn Toán năm 2018 2019 phòng GD ĐT Nậm Nhùn Lai Châu

Đề học sinh giỏi huyện lớp 7 môn Toán năm 2018 2019 phòng GD ĐT Nậm Nhùn Lai Châu

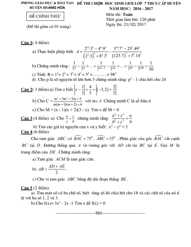
Nội dung Đề học sinh giỏi huyện lớp 7 môn Toán năm 2018 2019 phòng GD ĐT Nậm Nhùn Lai Châu Bản PDF

Đề học sinh giỏi môn Toán lớp 7 năm 2018 2019 ở huyện Nậm Nhùn Lai Châu

Sytu xin giới thiệu đến quý thầy cô và các em học sinh đề thi chọn lọc học sinh giỏi cấp huyện môn Toán lớp 7 năm học 2018-2019 của phòng GD&ĐT Nậm Nhùn Lai Châu. Kỳ thi sẽ diễn ra vào ngày 13 tháng 01 năm 2019.

Đề thi này là cơ hội cho các em học sinh lớp 7 thể hiện kiến thức và kỹ năng Toán của mình, để có cơ hội được tham gia vào đội học sinh giỏi của huyện. Chúng tôi hy vọng rằng các em sẽ cố gắng hết mình và đạt kết quả cao trong kỳ thi sắp tới.

Chúc các em may mắn và thành công trong kỳ thi sắp tới!

Bình luận (5)

Trịnh Hồ Minh Hoàng

Em không thể không cảm ơn thầy cô đã dành thời gian và công sức để biên soạn đề thi học sinh giỏi Toán. Điều này thể hiện tinh thần trách nhiệm cao của đội ngũ giáo viên đối với học sinh.

Trả lời.

NHN

Tôi rất biết ơn khi tìm thấy tài liệu ôn thi học sinh giỏi Toán cấp huyện cho lớp 7. Điều này chắc chắn sẽ giúp học sinh tự tin hơn khi bước vào kỳ thi.

Trả lời.

Lâm Kiều Oanh

Em cảm động trước sự nỗ lực của thầy cô trong việc chuẩn bị đề thi học sinh giỏi Toán cho học sinh. Việc này chắc chắn sẽ giúp học sinh phấn đấu hơn trong học tập.

Trả lời.

nguyễn nhân

Tôi vui mừng khi phát hiện ra đề học sinh giỏi Toán cấp huyện dành cho lớp 7 năm nay. Đây sẽ là cơ hội tuyệt vời để học sinh rèn luyện kiến thức và kỹ năng của mình.

Trả lời.

yen ngoc

Em rất phấn khích khi thấy có tài liệu ôn thi học sinh giỏi môn Toán cấp huyện lớp 7 năm nay. Cảm ơn thầy cô đã chia sẻ tài liệu giúp em ôn tập hiệu quả!

Trả lời.
Nhấn vào đây để đánh giá
Thông tin người gửi
2.37189 sec| 2472.609 kb