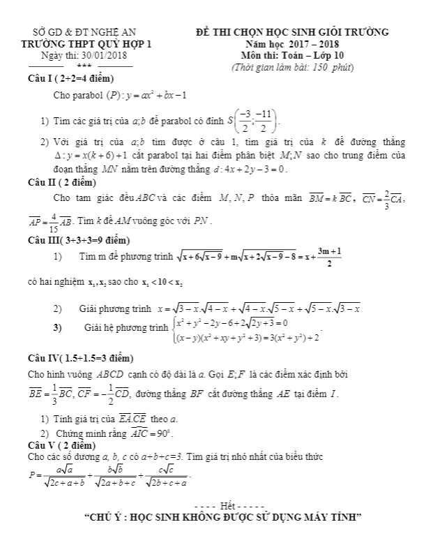
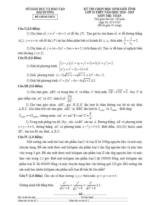
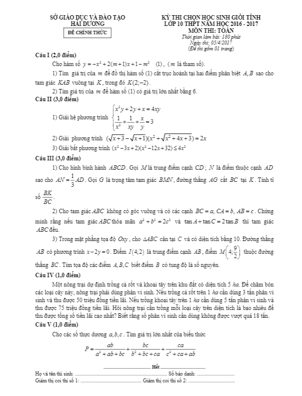
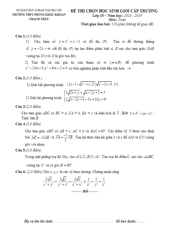
Đề học sinh giỏi lớp 10 môn Toán THPT năm 2022 2023 sở GD ĐT Vĩnh Phúc

Đề học sinh giỏi lớp 10 môn Toán THPT năm 2022 2023 sở GD ĐT Vĩnh Phúc
Mời thí sinh CLICK vào liên kết hoặc ảnh bên dưới Mở ứng dụng Shopee để tiếp tục làm bài thi
https://s.shopee.vn/AKN2JyAJAw
sytu.net và đội ngũ nhân viên xin chân thành cảm ơn!

Nội dung Đề học sinh giỏi lớp 10 môn Toán THPT năm 2022 2023 sở GD ĐT Vĩnh Phúc Bản PDF

Đề học sinh giỏi Toán lớp 10 THPT năm 2022 – 2023 sở GD&ĐT Vĩnh Phúc

Chào mừng quý thầy cô giáo và các em học sinh lớp 10 đến với đề thi chọn học sinh giỏi (HSG) môn Toán lớp 10 chương trình THPT năm học 2022 – 2023 sở Giáo dục và Đào tạo tỉnh Vĩnh Phúc. Đề thi mã đề 111 bao gồm 50 câu trắc nghiệm, được chia thành 6 trang và thời gian làm bài là 90 phút (không tính thời gian phát đề). Trong đề thi, có các câu hỏi như sau: 1. Đề bài về quả bóng được đá lên từ độ cao 0 và đạt đến độ cao cụ thể sau một khoảng thời gian. Cần tính độ cao lớn nhất của quả bóng được đá lên so với mặt đất. 2. Câu hỏi liên quan đến việc pha chế nước ngọt loại I và nước ngọt loại II trong một cuộc thi. Qua đó, đề thi yêu cầu tính số điểm thưởng cao nhất mà mỗi đội có thể đạt được. 3. Bài toán về tam giác ABC, thông qua đó cần xác định tập hợp các điểm M là gì. Hy vọng rằng đề thi sẽ giúp các em học sinh rèn luyện kỹ năng giải toán, nắm vững kiến thức và chuẩn bị tốt cho việc tham gia các kì thi HSG trong tương lai. Chúc quý thầy cô giáo và các em học sinh thành công trong việc giải quyết đề thi này!

Bình luận (5)

Thu Hien Le

Tôi tin rằng việc ôn tập với đề học sinh giỏi Toán lớp 10 sẽ giúp các em học sinh nâng cao khả năng hiểu và giải toán, từ đó phát triển tư duy logic và sự sáng tạo của mình. Cảm ơn tác giả đã tạo ra tài liệu quý giá này.

Trả lời.

Sói Hùng

Em rất háo hức khi được trải nghiệm những câu hỏi thú vị và phức tạp trong đề học sinh giỏi Toán. Đây sẽ là bài kiểm tra thú vị và thử thách cho em trong quá trình ôn tập.

Trả lời.

Linh Diệu

Tôi rất cảm động trước công sức mà người biên tập đã bỏ ra để soạn thảo đề học sinh giỏi Toán lớp 10 đầy đủ và chất lượng như vậy. Điều này thể hiện tình yêu và sự tận tình với giáo dục.

Trả lời.

Vương Hoàng

Em không thể tin nổi mình lại có cơ hội ôn tập với đề học sinh giỏi Toán lớp 10 như vậy. Đây chắc chắn là cơ hội tốt để em nâng cao kiến thức và kỹ năng giải toán của mình.

Trả lời.

Jjjj Ghh

Tôi muốn bày tỏ lòng biết ơn đến những người đã tạo ra tài liệu này. Việc cung cấp đề thi chất lượng như vậy giúp học sinh tự tin hơn trong việc đối mặt với bài thi giải Toán học giỏi.

Trả lời.
Nhấn vào đây để đánh giá
Thông tin người gửi
1.70925 sec| 2475.125 kb