Đề học sinh giỏi lớp 6 môn Toán năm 2022 2023 phòng GD ĐT Hậu Lộc Thanh Hóa

Đề học sinh giỏi lớp 6 môn Toán năm 2022 2023 phòng GD ĐT Hậu Lộc Thanh Hóa
Mời thí sinh CLICK vào liên kết hoặc ảnh bên dưới Mở ứng dụng Shopee để tiếp tục làm bài thi
https://s.shopee.vn/AKN2JyAJAw
sytu.net và đội ngũ nhân viên xin chân thành cảm ơn!

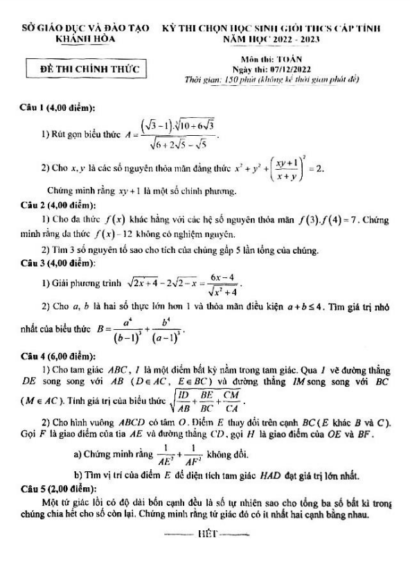
Nội dung Đề học sinh giỏi lớp 6 môn Toán năm 2022 2023 phòng GD ĐT Hậu Lộc Thanh Hóa Bản PDF

Đề học sinh giỏi lớp 6 môn Toán năm 2022 2023 phòng GD ĐT Hậu Lộc Thanh Hóa:

Đề học sinh giỏi lớp 6 môn Toán năm 2022 2023 do Phòng Giáo dục và Đào tạo Hậu Lộc Thanh Hóa tổ chức. Đây là cơ hội để các học sinh lớp 6 thể hiện khả năng và kiến thức của mình trong môn Toán. Với những câu hỏi được xây dựng kỹ lưỡng, đa dạng và phong phú, đề thi sẽ giúp học sinh rèn luyện kỹ năng tư duy logic, suy luận và giải quyết vấn đề. Đồng thời, cũng tạo điều kiện để học sinh phát triển khả năng tự học, tự giác và phấn đấu học tập.

Bình luận (4)

Hào Đinh

Em mong chờ được tham gia vào các bài thi học sinh giỏi với tài liệu 'Đề học sinh giỏi lớp 6 môn Toán năm 2022 2023'. Đây là cơ hội để em thử thách bản thân và khẳng định khả năng của mình.

Trả lời.

Hương Huỳnh

Tôi cảm thấy biết ơn với phòng GD ĐT Hậu Lộc Thanh Hóa đã biên soạn đề học sinh giỏi môn Toán cho năm học tới. Điều này giúp học sinh có thêm nguồn tài liệu ôn tập và chuẩn bị cho kì thi sắp tới.

Trả lời.

Nguyenvanphuong Nguyenvanphuong

Em cảm thấy rất vui khi có cơ hội tham gia làm bài thi với đề học sinh giỏi lớp 6 môn Toán. Đây là cơ hội để tỏa sáng và thể hiện khả năng của mình.

Trả lời.

Ngô Hoàng Anh

Tôi rất phấn khích khi tìm thấy tài liệu 'Đề học sinh giỏi lớp 6 môn Toán năm 2022 2023' này. Đây sẽ là tài liệu hữu ích để rèn luyện và nâng cao kiến thức cho học sinh.

Trả lời.
Nhấn vào đây để đánh giá
Thông tin người gửi
1.20291 sec| 2472.914 kb