Đề học sinh giỏi lớp 8 môn Toán năm 2022 2023 phòng GD ĐT Tiền Hải Thái Bình

Đề học sinh giỏi lớp 8 môn Toán năm 2022 2023 phòng GD ĐT Tiền Hải Thái Bình
Mời thí sinh CLICK vào liên kết hoặc ảnh bên dưới Mở ứng dụng Shopee để tiếp tục làm bài thi
https://s.shopee.vn/AKN2JyAJAw
sytu.net và đội ngũ nhân viên xin chân thành cảm ơn!

Nội dung Đề học sinh giỏi lớp 8 môn Toán năm 2022 2023 phòng GD ĐT Tiền Hải Thái Bình Bản PDF

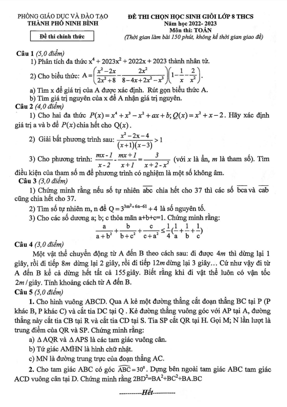
Đề Học Sinh Giỏi Toán Lớp 8 Năm 2022 - 2023 Phòng GD&ĐT Tiền Hải - Thái Bình

Chào đón quý thầy cô giáo và các em học sinh lớp 8! Trong năm học 2022 - 2023, Phòng Giáo dục và Đào tạo huyện Tiền Hải, tỉnh Thái Bình, đã tổ chức đề khảo sát học sinh giỏi cấp huyện môn Toán lớp 8. Đề thi bao gồm các câu hỏi thú vị, được kèm theo đáp án, lời giải chi tiết và hướng dẫn chấm điểm.

Ví dụ về một số câu hỏi trong đề thi:

1. Tìm đa thức dư khi chia đa thức f(x) cho (x + 1)(x2 + 2).

2. Chứng minh một số tính chất của tam giác vuông ABC và các đường phân giác.

3. Chứng minh điều kiện để tam giác ABC là tam giác đều dựa trên một số điều kiện đã cho.

Đề thi không chỉ giúp các em ôn tập kiến thức mà còn phát triển tư duy logic và kỹ năng giải bài tập. Hy vọng rằng đề thi sẽ giúp các em tự tin và thành công trong kỳ thi học sinh giỏi cấp huyện. Chúc quý thầy cô và các em học sinh một buổi thi tốt đẹp!

Bình luận (5)

Nguyễn Phương Anh

Tôi thực sự rất hạnh phúc khi nhận được tài liệu đề học sinh giỏi Toán lớp 8. Đây là cơ hội tuyệt vời để tự thử thách và phấn đấu hết mình. Cảm ơn tất cả những người đã tạo điều kiện cho chúng tôi.

Trả lời.

đỗ thị hạ vy

Em rất vui khi biết được tài liệu này, sẽ học hỏi và rèn luyện để có thể vượt qua kỳ thi học sinh giỏi. Mong rằng em sẽ có cơ hội thể hiện tốt nhất khả năng của mình.

Trả lời.

Nguyễn Phương

Tôi không thể tin nổi khi có cơ hội tải về đề học sinh giỏi môn Toán lớp 8. Cảm giác vừa sướng vừa lo lắng, nhưng chắc chắn sẽ cố gắng hết sức để đạt kết quả tốt nhất.

Trả lời.

Minh Ta

Em thật sự cảm thấy biết ơn với những người đã tổ chức và biên soạn tài liệu này. Chắc chắn đây sẽ là một công cụ hữu ích giúp em nâng cao kiến thức và kỹ năng Toán của mình.

Trả lời.

Hậu Thach ngọc

Tôi rất phấn khích khi biết được có tài liệu đề học sinh giỏi môn Toán lớp 8 năm 2022-2023 từ phòng GD ĐT Tiền Hải Thái Bình. Để ôn tập và chuẩn bị cho kỳ thi sắp tới thật tốt.

Trả lời.
Nhấn vào đây để đánh giá
Thông tin người gửi
1.52195 sec| 2474.883 kb