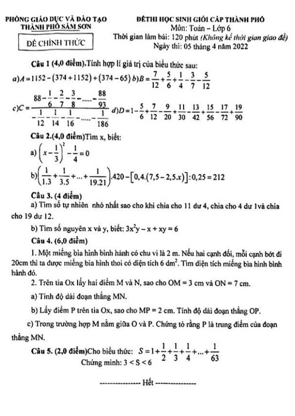
Đề HSG cấp huyện lớp 6 môn Toán năm 2021 2022 phòng GD ĐT Lục Ngạn Bắc Giang

Đề HSG cấp huyện lớp 6 môn Toán năm 2021 2022 phòng GD ĐT Lục Ngạn Bắc Giang
Mời thí sinh CLICK vào liên kết hoặc ảnh bên dưới Mở ứng dụng Shopee để tiếp tục làm bài thi
https://s.shopee.vn/AKN2JyAJAw
sytu.net và đội ngũ nhân viên xin chân thành cảm ơn!

Nội dung Đề HSG cấp huyện lớp 6 môn Toán năm 2021 2022 phòng GD ĐT Lục Ngạn Bắc Giang Bản PDF

Đề HSG cấp huyện lớp 6 môn Toán năm 2021-2022 phòng GD ĐT Lục Ngạn Bắc Giang

Xin chào quý thầy cô và các em học sinh lớp 6! Hôm nay, chúng ta sẽ cùng tìm hiểu về đề thi chọn học sinh giỏi cấp huyện môn Toán lớp 6 năm học 2021-2022 do phòng Giáo dục và Đào tạo huyện Lục Ngạn, tỉnh Bắc Giang tổ chức. Kỳ thi đã được lên lịch diễn ra vào ngày 10 tháng 03 năm 2022.

Dưới đây là một số câu hỏi thú vị từ đề thi:

  1. Số nhà của hai bạn An và Bình đều là số tự nhiên có bốn chữ số dạng a53b và chia hết cho cả 5 và 9. Hãy tìm số nhà của hai bạn, biết số nhà của bạn An lớn hơn số nhà của bạn Bình.
  2. Bạn Lan dự định dùng 3/10 số tiền tiết kiệm để mua một cuốn sách có giá ghi trên bìa là 120,000 đồng. Với chương trình khuyến mãi, bạn Lan chỉ phải trả số tiền bằng 6/25 số tiền tiết kiệm của mình. Hỏi quyển sách đó được giảm giá bao nhiêu phần trăm so với giá bìa?
  3. Nhà ông Minh có một mảnh vườn hình chữ nhật có chu vi bằng 600m và chiều dài bằng 3/2 chiều rộng. Ông đã làm một lối đi xung quanh rộng 1m và còn lại dùng để trồng cam. Hãy tính diện tích mảnh vườn, diện tích dùng để trồng cam và số tiền ông Minh thu được sau 3 năm trồng cam.

Hy vọng các em sẽ tự tin và thành công trong kỳ thi sắp tới. Chúc các em học tốt và đạt kết quả cao!

Bình luận (5)

Thanh Hà

Em mong rằng sẽ có nhiều tài liệu học tập hấp dẫn như vậy để giúp học sinh phát triển năng lực và đạt kết quả tốt trong học tập. Cảm ơn phòng GD ĐT Lục Ngạn Bắc Giang rất nhiều!

Trả lời.

baoanh

Tôi tự tin rằng việc ôn tập và giải bài tập từ tài liệu này sẽ giúp học sinh tiếp cận với những kiến thức mới một cách hiệu quả và thú vị.

Trả lời.

Nguyên Nhật

Em khá cảm động khi nhận ra có nhiều câu hỏi trong đề thi kích thích sự tư duy và sáng tạo của học sinh. Đây chắc chắn sẽ là thách thức đáng giá cho các em.

Trả lời.

Khoa Tran

Tôi rất biết ơn phòng GD ĐT Lục Ngạn Bắc Giang vì đã tổ chức và cung cấp đề thi này cho học sinh. Điều này thể hiện sự quan tâm và chăm sóc đến việc phát triển năng lực toán học của các em.

Trả lời.

Phu Nguyen

Em cảm thấy phấn khích khi được trải nghiệm các câu hỏi trong đề thi. Đây thực sự là cơ hội tốt để rèn luyện kiến thức và kỹ năng của mình.

Trả lời.
Nhấn vào đây để đánh giá
Thông tin người gửi
1.39715 sec| 2475.047 kb