Đề HSG huyện lớp 7 môn Toán năm 2022 2023 phòng GD ĐT Thạch Thành Thanh Hóa

Đề HSG huyện lớp 7 môn Toán năm 2022 2023 phòng GD ĐT Thạch Thành Thanh Hóa
Mời thí sinh CLICK vào liên kết hoặc ảnh bên dưới Mở ứng dụng Shopee để tiếp tục làm bài thi
https://s.shopee.vn/AKN2JyAJAw
sytu.net và đội ngũ nhân viên xin chân thành cảm ơn!

Nội dung Đề HSG huyện lớp 7 môn Toán năm 2022 2023 phòng GD ĐT Thạch Thành Thanh Hóa Bản PDF

Đề HSG huyện lớp 7 môn Toán năm 2022 2023 phòng GD ĐT Thạch Thành Thanh Hóa

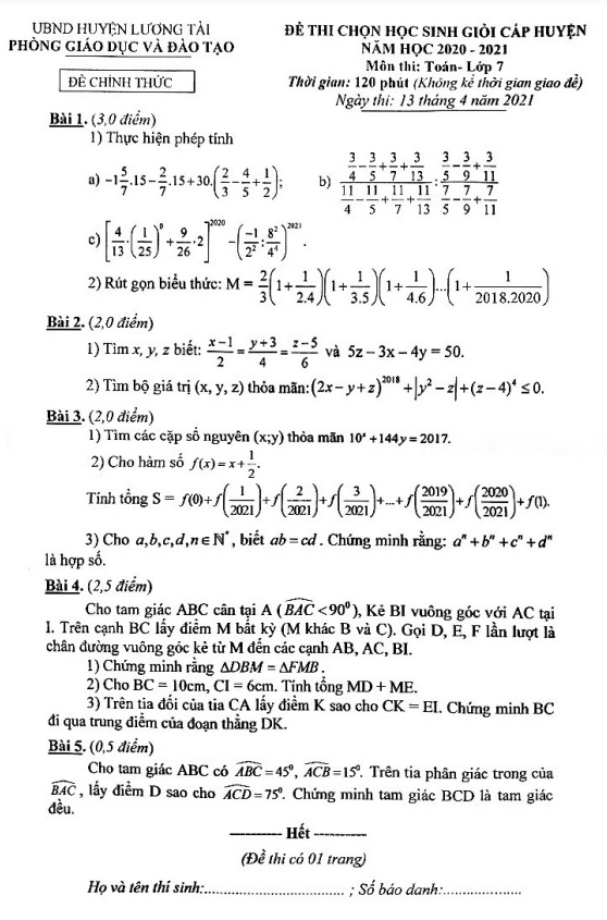
Chúng tôi xin được giới thiệu đến quý thầy cô và các em học sinh lớp 7 đề khảo sát học sinh giỏi cấp huyện môn Toán lớp 7 năm học 2022 – 2023 do phòng Giáo dục và Đào tạo huyện Thạch Thành, tỉnh Thanh Hóa tổ chức. Kỳ thi sẽ diễn ra vào ngày 14 tháng 03 năm 2023.

Dưới đây là một số câu hỏi từ Đề HSG huyện Toán lớp 7 năm 2022 – 2023 phòng GD&ĐT Thạch Thành – Thanh Hóa:

1. Cho các số a, b, c, x, y, z thỏa mãn a + b + c = a² + b² + c² = 1 và x/a = y/b = z/c (các tỉ số đều có nghĩa). Hãy chứng minh rằng x² + y² + z² = (x + y + z)².

2. Một bản thảo cuốn sách dày 555 trang được giao cho 3 người đánh máy. Người thứ nhất cần 5 phút để đánh máy một trang, người thứ hai cần 4 phút, người thứ ba cần 6 phút. Hỏi mỗi người sẽ đánh máy bao nhiêu trang bản thảo, biết rằng cả 3 người cùng nhau làm từ đầu đến khi đánh máy xong.

3. Cho điểm M thuộc đoạn thẳng AB (MA > MB). Trên cùng một nửa mặt phẳng nằm trên bờ AB, vẽ các tam giác đều AMC, BMD. Gọi E, F lần lượt là trung điểm của AD, BC. Gọi K là giao điểm của AD và BC. Hãy chứng minh rằng: Đoạn thẳng AD bằng BC và AEM bằng CFM, từ đó suy ra tam giác MEF là tam giác đều.

Bình luận (5)

Giang Giang

Em háo hức để làm bài với tài liệu này để kiểm tra kiến thức của mình. Cảm ơn các thầy cô đã tạo điều kiện cho em được thử thách và phấn đấu hơn trong học tập.

Trả lời.

Nguyễn Quốc Bảo

Tôi là một giáo viên, và tôi rất hạnh phúc khi thấy học sinh có cơ hội ôn tập với tài liệu chất lượng như vậy. Điều này giúp họ phát triển tư duy và kiến thức một cách toàn diện.

Trả lời.

Minh Anh Trần Lê

Em thấy vui mừng vì có tài liệu này giúp các em có thêm nguồn tư liệu ôn tập Toán một cách hiệu quả. Chắc chắn sẽ giúp ích rất nhiều cho việc học tập của em.

Trả lời.

Nguyễn Thị Khánh Hòa

Tôi không thể không cảm động khi thấy nỗ lực của các thầy cô và tổ chức trong việc tổ chức đề HSG. Điều này thật sự đáng quý và đáng trân trọng.

Trả lời.

Tranng Thu

Em thật sự rất biết ơn vì đã có tài liệu này. Có cơ hội ôn tập những câu hỏi khó, thách thức để nâng cao kiến thức và kỹ năng giải quyet bài toán của mình.

Trả lời.
Nhấn vào đây để đánh giá
Thông tin người gửi
0.77145 sec| 2475.383 kb