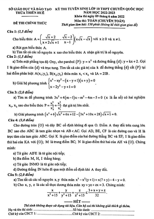
Đề HSG lớp 10 môn Toán lần 14 năm 2023 hội các trường THPT chuyên DH ĐB Bắc Bộ

Đề HSG lớp 10 môn Toán lần 14 năm 2023 hội các trường THPT chuyên DH ĐB Bắc Bộ
Mời thí sinh CLICK vào liên kết hoặc ảnh bên dưới Mở ứng dụng Shopee để tiếp tục làm bài thi
https://s.shopee.vn/AKN2JyAJAw
sytu.net và đội ngũ nhân viên xin chân thành cảm ơn!

Nội dung Đề HSG lớp 10 môn Toán lần 14 năm 2023 hội các trường THPT chuyên DH ĐB Bắc Bộ Bản PDF

Đề HSG lớp 10 môn Toán lần 14 năm 2023

Sytu xin gửi đến quý thầy cô giáo và các em học sinh lớp 10 đề thi chọn học sinh giỏi môn Toán lớp 10 lần thứ 14 (XIV) năm 2023 của hội các trường THPT chuyên vùng Duyên hải và Đồng bằng Bắc Bộ. Kỳ thi sẽ diễn ra vào ngày 15 tháng 07 năm 2023, với đề thi, đáp án và hướng dẫn chấm điểm đi kèm.

Trích dẫn một số câu hỏi từ Đề HSG Toán lớp 10 lần 14 năm 2023:

  1. Cho tam giác nhọn ABC nội tiếp đường tròn O, có AD là đường phân giác trong. Gọi E, F lần lượt là điểm chính giữa cung CA chứa B và cung AB chứa C của đường tròn O. Chứng minh rằng bốn điểm BM, NC và tâm đường tròn ngoại tiếp tam giác AMN cùng nằm trên một đường tròn.
  2. Chứng minh rằng nếu tồn tại các số nguyên dương abc sao cho 2027n = abcd thì n là số chẵn. Tính tới nay điểm.
  3. Một số nguyên dương m được gọi là “tốt” nếu tồn tại các số nguyên dương abcd sao cho mabcdm = 49 và ad - bc. a) Chứng minh rằng m là “tốt” khi và chỉ khi tồn tại hai số nguyên dương x, y sao cho xy = m và (xy - m = 1) và (xy - m = 49). b) Tìm số nguyên dương “tốt” lớn nhất.

Đề thi Toán HSG lớp 10 lần 14 năm 2023 đầy hấp dẫn và đòi hỏi sự thông minh, sáng tạo từ các thí sinh. Chúc các em thi tốt!

Bình luận (5)

Trần Minh Hiếu

Tôi tin rằng tài liệu này sẽ đem lại nhiều niềm vui và hứng khởi cho các học sinh, khi họ có cơ hội thách thức bản thân và phát triển kỹ năng toán học.

Trả lời.

Thu Vân

Em rất vui khi có cơ hội tham gia vào việc ôn tập và giải đề HSG lần này, chắc chắn nó sẽ giúp em cải thiện kỹ năng toán học của mình.

Trả lời.

Hồng Hoàng

Tôi không thể không biết ơn sự nỗ lực của những người đã tổ chức cuộc thi này, họ đã tạo ra một cơ hội tốt cho học sinh thể hiện khả năng của mình.

Trả lời.

nguyen v b

Em thấy hết sức cảm động với sự chuẩn bị kỹ lưỡng của ban tổ chức, đảm bảo rằng đề thi sẽ mang lại cơ hội công bằng cho tất cả học sinh.

Trả lời.

Linh Hoàng

Tôi rất phấn khích khi biết đến tài liệu này, nó là cơ hội tuyệt vời để các học sinh thử sức và rèn luyện kiến thức Toán của mình.

Trả lời.
Nhấn vào đây để đánh giá
Thông tin người gửi
8.29983 sec| 2475.648 kb