Đề khảo sát chất lượng lớp 9 môn Toán đầu năm 2022 2023 trường THCS Chu Văn An Hà Nội

Đề khảo sát chất lượng lớp 9 môn Toán đầu năm 2022 2023 trường THCS Chu Văn An Hà Nội

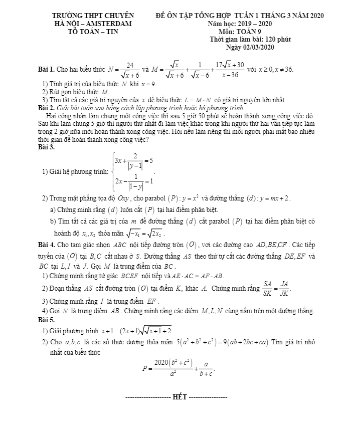
Nội dung Đề khảo sát chất lượng lớp 9 môn Toán đầu năm 2022 2023 trường THCS Chu Văn An Hà Nội Bản PDF

Đề khảo sát chất lượng lớp 9 môn Toán đầu năm 2022 2023 trường THCS Chu Văn An Hà Nội

Xin chào quý thầy, cô và các em học sinh lớp 9! Hôm nay, Sytu xin giới thiệu đến các bạn đề khảo sát chất lượng môn Toán lớp 9 đầu năm học 2022 – 2023 của trường THCS Chu Văn An, quận Tây Hồ, thành phố Hà Nội. Cùng tìm hiểu một số nội dung chính trong đề:

1. Rút gọn biểu thức và giải phương trình đã cho.

2. Vấn đề về sản xuất: Một tổ sản xuất cần sản xuất 50 sản phẩm mỗi ngày, nhưng do cải tiến kỹ thuật, họ đã sản xuất được 60 sản phẩm mỗi ngày. Vì vậy, tổ đã hoàn thành kế hoạch trước một ngày. Bài toán đặt ra là hỏi theo kế hoạch, tổ cần phải sản xuất bao nhiêu sản phẩm.

3. Về tam giác cân: Trong tam giác ABC cân tại A, với đường cao AH, kẻ HE vuông góc với AB và HD vuông góc với AC, các câu hỏi bao gồm :

- Chứng minh AH2 = AE.AB

- Chứng tỏ rằng: CD.CA = BE.AB

- Tính diện tích tứ giác BEDC khi biết AM = 3MH và diện tích tam giác ABC bằng 16 cm.

Hy vọng đề khảo sát môn Toán này sẽ giúp các em học sinh lớp 9 rèn luyện và nắm vững kiến thức, chuẩn bị tốt cho hành trang học tập trong năm học mới. Chúc các em thực hiện tốt!

Bình luận (4)

Nguyễn Hoàng Hiệp

Em thấy thật may mắn khi được tiếp cận với đề khảo sát Toán lớp 9 của trường THCS Chu Văn An. Cảm ơn nhà trường và các thầy cô đã tạo điều kiện cho em cải thiện kỹ năng Toán của mình.

Trả lời.

Nguyen Tung Lam

Tài liệu này thực sự là một cống hiến quý giá từ phía trường THCS Chu Văn An. Tôi cảm động và rất biết ơn vì đã có cơ hội ôn tập thật kỹ cho kì thi sắp tới.

Trả lời.

Trần Hoàng Duy Anh

Em rất phấn khích khi biết có file pdf download của đề khảo sát môn Toán lớp 9 trường THCS Chu Văn An. Em sẽ tập trung ôn tập và làm bài thi thật tốt!

Trả lời.

Bõ Lại

Tôi rất vui khi thấy có tài liệu khảo sát chất lượng lớp 9 môn Toán đầu năm của trường THCS Chu Văn An Hà Nội. Điều này chắc chắn sẽ giúp học sinh chuẩn bị tốt hơn cho kì thi sắp tới.

Trả lời.
Nhấn vào đây để đánh giá
Thông tin người gửi
1.37384 sec| 2475.383 kb