Đề khảo sát đợt 3 lớp 9 môn Toán năm 2018 2019 phòng GD ĐT Kim Thành Hải Dương

Đề khảo sát đợt 3 lớp 9 môn Toán năm 2018 2019 phòng GD ĐT Kim Thành Hải Dương
Mời thí sinh CLICK vào liên kết hoặc ảnh bên dưới Mở ứng dụng Shopee để tiếp tục làm bài thi
https://s.shopee.vn/AKN2JyAJAw
sytu.net và đội ngũ nhân viên xin chân thành cảm ơn!

Nội dung Đề khảo sát đợt 3 lớp 9 môn Toán năm 2018 2019 phòng GD ĐT Kim Thành Hải Dương Bản PDF

Đề khảo sát đợt 3 lớp 9 môn Toán năm 2018 2019 phòng GD ĐT Kim Thành Hải Dương

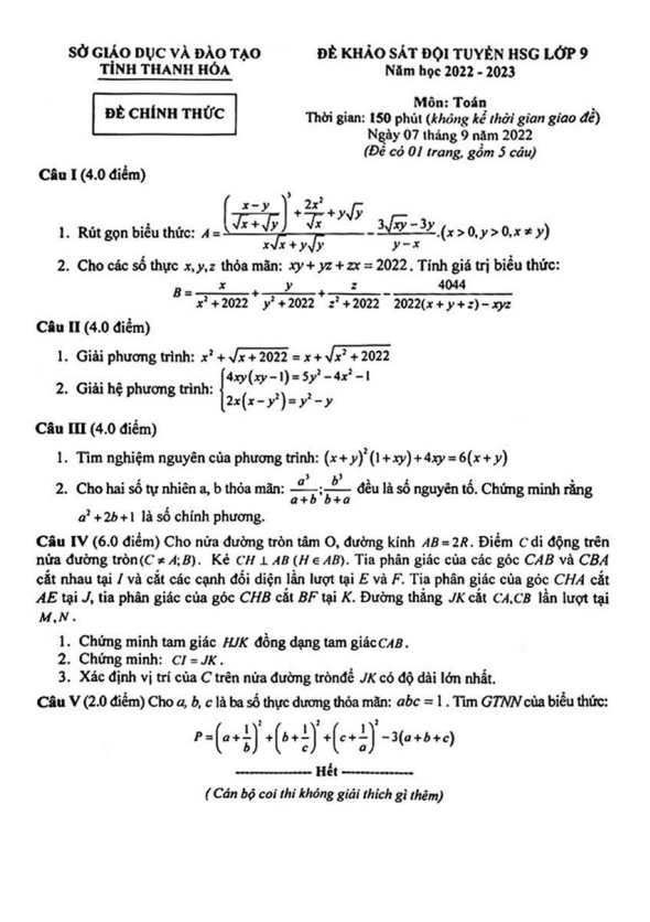
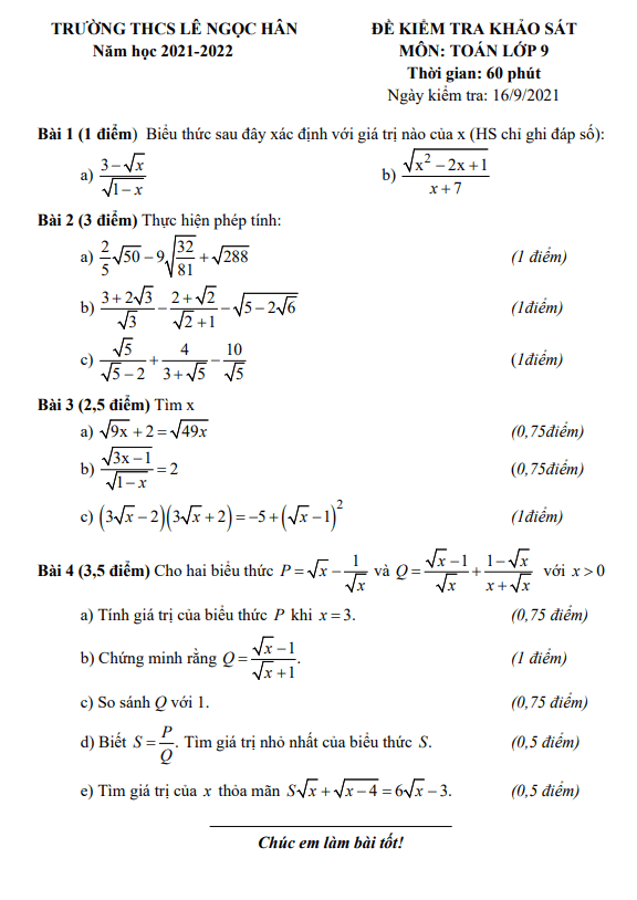
Sytu xin giới thiệu đến các em học sinh khối lớp 9 đề khảo sát đợt 3 Toán lớp 9 năm 2018 - 2019 phòng GD&ĐT Kim Thành - Hải Dương. Đề này có cấu trúc giống với một đề thi tuyển sinh vào lớp 10 môn Toán, nhằm giúp các em học sinh lớp 9 rèn luyện và chuẩn bị cho kỳ thi quan trọng sắp tới.

Đề khảo sát đợt 3 Toán lớp 9 năm 2018 - 2019 phòng GD&ĐT Kim Thành - Hải Dương gồm 01 trang với 05 bài toán dạng đề tự luận, thời gian làm bài là 120 phút.

Trích dẫn một số câu hỏi trong đề khảo sát:

  1. Cho phương trình \(x^2 - 2mx + m^2 - m + 1 = 0\). Tìm \(m\) để phương trình có 2 nghiệm \(x_1, x_2\) thỏa mãn: \(x_1^2 + 2mx_2 = 9\).
  2. Khoảng cách giữa hai bến sống A và B là 50km. Một ca nô đi từ bến A đến bến B, nghỉ 20 phút ở bến B rồi quay lại bến A. Tính vận tốc riêng của ca nô, biết vận tốc của dòng nước là 4km/h.
  3. Từ điểm A nằm ngoài đường tròn (O;R), vẽ hai tiếp tuyến AB, AC và cát tuyến AMN sao cho cung MBN nhỏ hơn cung MCN. Chứng minh rằng: a) Bốn điểm B, H, O, C cùng nằm trên một đường tròn. b) \(R^2 = OH \times OL\). c) \(INC = ANB\).

Hy vọng rằng đề khảo sát này sẽ giúp các em học sinh lớp 9 nắm vững kiến thức và chuẩn bị tốt cho các kỳ thi sắp tới.

Bình luận (5)

Linh Ha

Tôi rất sẵn lòng chia sẻ tài liệu đề khảo sát đợt 3 lớp 9 môn Toán năm 2018-2019 phòng GD ĐT Kim Thành Hải Dương với học sinh của mình. Đây là một bước tiến quan trọng trong việc chuẩn bị cho kỳ thi sắp tới.

Trả lời.

Hà Hương Ly

Em rất hồi hộp để thử sức với đề khảo sát này. Cảm giác hạnh phúc và lo lắng xen lẫn, nhưng đó cũng là cơ hội để thể hiện kiến thức của mình.

Trả lời.

khoa23112005

Tôi chắc chắn sẽ khuyến khích học sinh của mình tải về tài liệu này để ôn tập và kiểm tra kiến thức của mình. Đây thực sự là một nguồn tư liệu quý báu.

Trả lời.

long bùi

Em hạnh phúc khi biết rằng mình có thể tìm thấy tài liệu đề khảo sát đợt 3 lớp 9 môn Toán năm 2018-2019 phòng GD ĐT Kim Thành Hải Dương để ôn tập chuẩn bị cho kì thi sắp tới.

Trả lời.

thuy2008 bùi thu thuỷ

Tài liệu này thật sự rất hữu ích cho việc ôn tập của học sinh, và tôi muốn bày tỏ lòng biết ơn đến các tác giả và người làm công tác biên soạn tài liệu này.

Trả lời.
Nhấn vào đây để đánh giá
Thông tin người gửi
1.01156 sec| 2479.695 kb