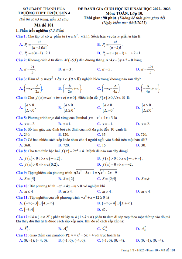
Đề khảo sát HSG lớp 7 môn Toán năm 2017 2018 trường THCS Vũ Phạm Khải Ninh Bình

Đề khảo sát HSG lớp 7 môn Toán năm 2017 2018 trường THCS Vũ Phạm Khải Ninh Bình
Mời thí sinh CLICK vào liên kết hoặc ảnh bên dưới Mở ứng dụng Shopee để tiếp tục làm bài thi
https://s.shopee.vn/AKN2JyAJAw
sytu.net và đội ngũ nhân viên xin chân thành cảm ơn!

Nội dung Đề khảo sát HSG lớp 7 môn Toán năm 2017 2018 trường THCS Vũ Phạm Khải Ninh Bình Bản PDF

Đề khảo sát HSG lớp 7 môn Toán năm 2017-2018 Trường THCS Vũ Phạm Khải Ninh Bình

Đề khảo sát HSG Toán lớp 7 năm 2017 – 2018 trường THCS Vũ Phạm Khải – Ninh Bình là một bài thi có đáp án và lời giải chi tiết. Kỳ thi đã diễn ra vào ngày 12 tháng 03 năm 2018.

Trong bài thi này, học sinh được đặt ra các bài toán thú vị và bài tập sâu về các kiến thức cơ bản về Toán của lớp 7. Một số câu hỏi mà học sinh gặp phải bao gồm:

  • Phân chia số lượng vở viết cho 3 lớp 7A, 7B, 7C theo tỉ lệ và tính toán số vở mỗi lớp nhận được.
  • Giải hàm số f(x) thỏa mãn các điều kiện f(0) ≠0, f(1) = 3, f(x)f(y) = f(x+y) + f(x-y) với mọi x, y.
  • Tìm ba phân số có tổng bằng 213/70, tỉ lệ giữa tử số và mẫu số của các phân số đã biết.

Bài thi này không chỉ đánh giá kiến thức của học sinh mà còn khuyến khích họ suy nghĩ logic, phân tích và giải quyết vấn đề. Đây là một cơ hội tuyệt vời để học sinh thể hiện khả năng và trình độ của mình trong môn Toán.

Bình luận (5)

Kngokk Nguyn

Tôi tin chắc rằng tài liệu này sẽ giúp cho học sinh có điểm cao trong kì thi HSG sắp tới. Chúc mọi người ôn tập hiệu quả và đạt kết quả tốt nhất!

Trả lời.

Anh Tran

Em không thể không cảm động khi thấy tài liệu ôn thi HSG toán lớp 7 được chia sẻ một cách rộng rãi như vậy. Cảm ơn những người đã tạo ra tài liệu này!

Trả lời.

Trần Phương Linh

Tôi cam kết sẽ chia sẻ tài liệu Đề khảo sát HSG toán lớp 7 này với tất cả các bạn học sinh của mình. Điều này giúp họ có cơ hội ôn tập một cách chất lượng và hiệu quả.

Trả lời.

Vảng Lớp 11B4

Em rất vui khi được trải nghiệm với tài liệu Đề khảo sát HSG toán lớp 7. Điều này giúp em tự tin hơn trong quá trình ôn tập và chuẩn bị cho kì thi quan trọng.

Trả lời.

Lê phan gia nghi

Tôi không thể tin được tài liệu này có thể giúp học sinh tương tác với đề khảo sát HSG một cách thông minh và hiệu quả như vậy. Cảm giác vui sướng tràn ngập trong tôi khi sử dụng tài liệu này.

Trả lời.
Nhấn vào đây để đánh giá
Thông tin người gửi
1.05077 sec| 2474.914 kb