Đề khảo sát lần 1 lớp 10 môn Toán năm 2023 2024 trường THPT Lý Thái Tổ Bắc Ninh

Đề khảo sát lần 1 lớp 10 môn Toán năm 2023 2024 trường THPT Lý Thái Tổ Bắc Ninh

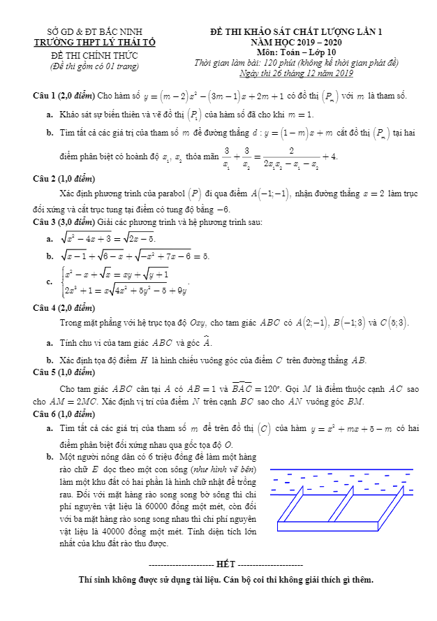
Nội dung Đề khảo sát lần 1 lớp 10 môn Toán năm 2023 2024 trường THPT Lý Thái Tổ Bắc Ninh Bản PDF

Đề khảo sát lần 1 Toán lớp 10 năm 2023 – 2024 trường THPT Lý Thái Tổ – Bắc Ninh

Sytu hân hạnh giới thiệu đến quý thầy cô và các em học sinh lớp 10 đề kiểm tra khảo sát chất lượng lần 1 môn Toán lớp 10 năm học 2023 – 2024 trường THPT Lý Thái Tổ Bắc Ninh. Đề thi bao gồm các câu hỏi trắc nghiệm mã đề 000 101 102 103 104 105 106 107 108.

Trích dẫn một số câu hỏi trong đề thi:

Câu 1: Trong một công trình, người ta xây dựng một cổng ra vào hình Parabol như hình vẽ dưới đây. Khoảng cách giữa hai chân cổng BC là 9m. Tính chiều cao của cổng.

Câu 2: Một xưởng sản xuất hai loại sản phẩm. Mỗi loại sản phẩm đòi hỏi một lượng nguyên liệu và thời gian sản xuất cụ thể. Hỏi cần sản xuất bao nhiêu sản phẩm để có mức lợi nhuận cao nhất.

Câu 3: Trong 1 lạng thịt bò chứa 26g protein, 1 lạng cá rô phi chứa 20g protein. Một gia đình cần tối thiểu 460g protein mỗi ngày. Hỏi số lạng thịt bò và số lạng cá rô phi mà gia đình cần ăn trong ngày.

Bạn có thể tải file WORD chứa đầy đủ nội dung đề thi để thầy cô và các em học sinh tham khảo và ôn tập.

Với những câu hỏi thú vị và bổ ích như vậy, hy vọng rằng các em sẽ tự tin và thành công khi tham gia bài kiểm tra. Chúc các em học tốt!

Bình luận (5)

Hoàng Trung Tuấn

Em rất hứng khởi khi nhìn thấy đề khảo sát Toán này, em tin rằng sẽ học được nhiều điều mới và cải thiện kỹ năng giải bài toán của mình.

Trả lời.

Hương Mai

Đề khảo sát Toán lần này thực sự là một bước đột phá trong quá trình học tập của em, tôi hứa sẽ nỗ lực để hoàn thành tốt nhất.

Trả lời.

Y Vi

Tôi thấy thật may mắn khi được tham gia vào bài khảo sát này, các bài tập đã giúp tôi củng cố lại kiến thức Toán một cách toàn diện.

Trả lời.

abcdef

Em cảm thấy rất cảm động khi thấy đề khảo sát này được xây*** cẩn thận và mang tính chất bám sát chương trình học.

Trả lời.

Nhung Nghiêm

Tôi rất biết ơn nhà trường đã tổ chức đề khảo sát này, là cơ hội tuyệt vời để rèn luyện kiến thức Toán của mình.

Trả lời.
Nhấn vào đây để đánh giá
Thông tin người gửi
1.37824 sec| 2479.977 kb