Đề khảo sát lớp 9 môn Toán đầu năm 2023 2024 trường THCS Phúc Lâm Hà Nội

Đề khảo sát lớp 9 môn Toán đầu năm 2023 2024 trường THCS Phúc Lâm Hà Nội
Mời thí sinh CLICK vào liên kết hoặc ảnh bên dưới Mở ứng dụng Shopee để tiếp tục làm bài thi
https://s.shopee.vn/AKN2JyAJAw
sytu.net và đội ngũ nhân viên xin chân thành cảm ơn!

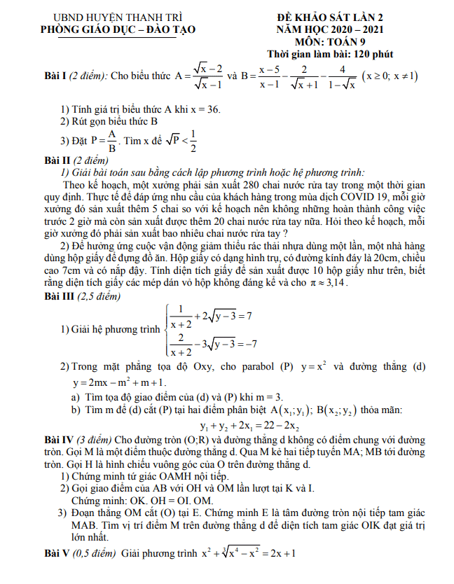
Nội dung Đề khảo sát lớp 9 môn Toán đầu năm 2023 2024 trường THCS Phúc Lâm Hà Nội Bản PDF

Đề khảo sát môn Toán lớp 9 trường THCS Phúc Lâm Hà Nội

Xin chào quý thầy cô và các em học sinh lớp 9! Hôm nay, chúng ta sẽ cùng nhau điểm qua nội dung của đề khảo sát chất lượng môn Toán đầu năm học 2023 – 2024 tại trường THCS Phúc Lâm, thành phố Hà Nội.

Đề khảo sát bao gồm các câu hỏi sau:

  • Cho biểu thức: P. a) Tìm điều kiện xác định để P có nghĩa. b) Rút gọn P. c) Tính giá trị của P tại x = 3. d) Tìm các giá trị nguyên của x để P có giá trị là một số nguyên.
  • Một người đi từ A đến B với vận tốc trung bình 15km/h. Lúc về người đó đi với vận tốc 12km/h, nên thời gian đi ít hơn thời gian về 12 phút. Tính độ dài quãng đường AB.
  • Cho tam giác ABC (AB < AC). Tia phân giác của góc A cắt cạnh BC tại D. Kẻ BM và CN vuông góc với AD (M, N thuộc AD). Chứng minh rằng: a) Tam giác BMD đồng dạng với tam giác CND. b) AB/AC = BM/CN. c) 1/DM – 1/DN = 2/AD.

Hy vọng các em sẽ tự tin và thành công khi làm bài thi khảo sát này. Chúc các em học tập tốt và đạt kết quả cao!

Bình luận (4)

Khuỷen

Em rất biết ơn về sự chu đáo của trường THCS Phúc Lâm Hà Nội khi đã chuẩn bị sẵn sàng đề khảo sát Toán đầu năm cho học sinh. Điều này đã giúp em tự tin hơn trong việc ôn tập và kiểm tra kiến thức của mình.

Trả lời.

Long Gia

Tôi cảm thấy phấn khích vì tài liệu này không chỉ giúp học sinh ôn tập mà còn giúp học sinh hiểu rõ hơn về cấu trúc của đề thi. Đây thực sự là một tài liệu hữu ích.

Trả lời.

Le Thang

Em thấy thật may mắn khi được sử dụng tài liệu này để ôn tập cho kỳ thi sắp tới. Cảm ơn nhà trường đã chia sẻ đề thi chất lượng như vậy.

Trả lời.

Tung Tieu

Tôi rất vui khi đã có cơ hội xem qua đề khảo sát lớp 9 môn Toán đầu năm của trường THCS Phúc Lâm Hà Nội. Đề thi rất chất lượng và phù hợp với năng lực của học sinh.

Trả lời.
Nhấn vào đây để đánh giá
Thông tin người gửi
1.19982 sec| 2474.789 kb