Đề khảo sát lớp 9 môn Toán lần 3 năm 2022 2023 trường THCS Tây Mỗ Hà Nội

Đề khảo sát lớp 9 môn Toán lần 3 năm 2022 2023 trường THCS Tây Mỗ Hà Nội
Mời thí sinh CLICK vào liên kết hoặc ảnh bên dưới Mở ứng dụng Shopee để tiếp tục làm bài thi
https://s.shopee.vn/AKN2JyAJAw
sytu.net và đội ngũ nhân viên xin chân thành cảm ơn!

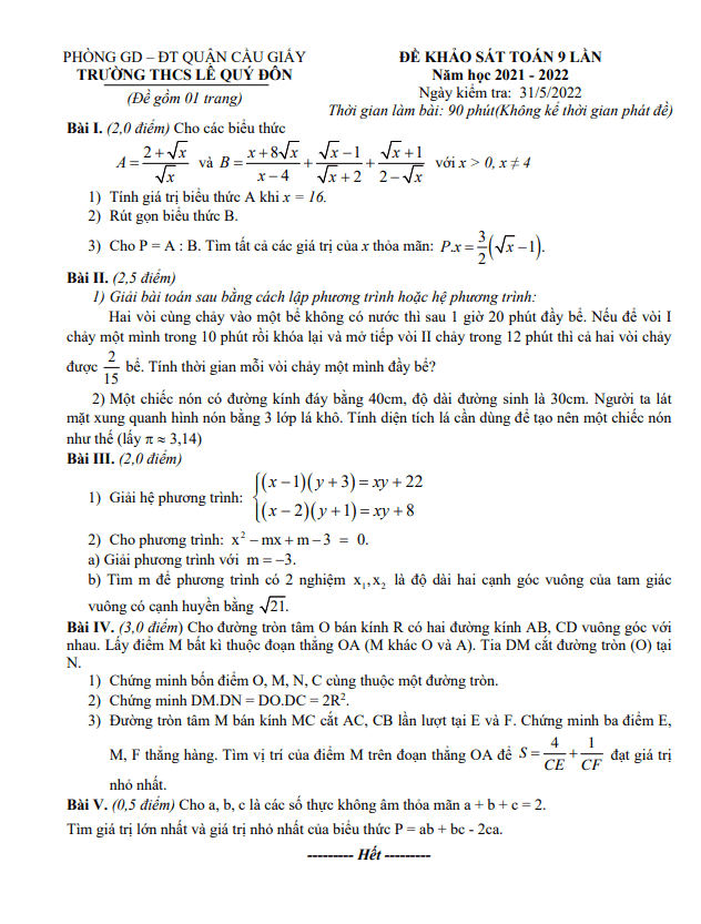
Nội dung Đề khảo sát lớp 9 môn Toán lần 3 năm 2022 2023 trường THCS Tây Mỗ Hà Nội Bản PDF

Đề khảo sát lớp 9 môn Toán lần 3 năm học 2022-2023 trường THCS Tây Mỗ Hà Nội

Chúng ta hãy cùng đến với đề khảo sát chất lượng môn Toán lớp 9 lần 3 năm học 2022 – 2023 của trường THCS Tây Mỗ, quận Nam Từ Liêm, thành phố Hà Nội. Kỳ thi này sẽ diễn ra vào ngày 01 tháng 12 năm 2022.

Đề khảo sát Toán lớp 9 lần 3 năm 2022 – 2023 trường THCS Tây Mỗ – Hà Nội bao gồm các câu hỏi thú vị như sau:

1. Cho hàm số bậc nhất \( y = (3 - m)x + m - 1 \) với m là tham số và m khác 3. Hãy tìm giá trị của m để hàm số trên là hàm số đồng biến. Vẽ đồ thị hàm số tại m = 5. Tính khoảng cách từ gốc toạ độ đến đồ thị đã vẽ.

2. Đài quan sát ở Toronto, Ontario, Canada cao 533m. Trên mặt đất, mặt trời tạo thành bóng dài 1100m. Hỏi lúc đó góc tạo bởi tia sáng mặt trời và mặt đất là bao nhiêu? (kết quả làm tròn đến phút).

3. Cho tam giác ABC nhọn, các đường cao AD, BE, CF cắt nhau tại H. Gọi I, K lần lượt là trung điểm của BC, AH. Chứng minh các điểm B, C, E, F cùng thuộc một đường tròn. Chứng minh AB.AF = AC.AE và điều kiện để IE = EF.

Hy vọng rằng đề khảo sát này sẽ giúp các em học sinh lớp 9 ôn tập và củng cố kiến thức môn Toán một cách hiệu quả. Chúc các em thành công trong kỳ thi sắp tới!

Bình luận (4)

Thu Minh 74

Em không thể tin nổi rằng tài liệu Đề khảo sát lớp 9 môn Toán lần 3 năm 2022 2023 đã sẵn sàng để download. Đây thực sự là một điều tuyệt vời và hứa hẹn sẽ là cống cụ hữu ích cho em trong quá trình học tập.

Trả lời.

Ngoc Phan

Tôi muốn bày tỏ lòng biết ơn sâu sắc đến các thầy cô giáo trường THCS Tây Mỗ Hà Nội vì đã tổ chức khảo sát và cung cấp đề thi này. Điều này thể hiện sự chu đáo và quan tâm đến sự phát triển của học sinh.

Trả lời.

Tâm Minh

Em rất vui khi trường THCS Tây Mỗ Hà Nội đã cung cấp tài liệu này cho mọi học sinh. Chắc chắn đây sẽ là công cụ hữu ích giúp em rèn luyện kỹ năng và kiến thức Toán của mình.

Trả lời.

Phương Thư

Tôi rất phấn khích khi thấy tài liệu Đề khảo sát lớp 9 môn Toán lần 3 năm 2022 2023. Đây là cơ hội tuyệt vời để học sinh ôn tập và chuẩn bị tốt cho kỳ thi sắp tới.

Trả lời.
Nhấn vào đây để đánh giá
Thông tin người gửi
1.96062 sec| 2474.703 kb