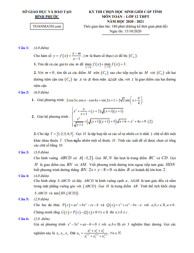
Đề khảo sát lớp 9 môn Toán lần 4 năm 2019 2020 trường THCS Trưng Vương Hà Nội

Đề khảo sát lớp 9 môn Toán lần 4 năm 2019 2020 trường THCS Trưng Vương Hà Nội
Mời thí sinh CLICK vào liên kết hoặc ảnh bên dưới Mở ứng dụng Shopee để tiếp tục làm bài thi
https://s.shopee.vn/AKN2JyAJAw
sytu.net và đội ngũ nhân viên xin chân thành cảm ơn!

Nội dung Đề khảo sát lớp 9 môn Toán lần 4 năm 2019 2020 trường THCS Trưng Vương Hà Nội Bản PDF

Đề khảo sát lớp 9 môn Toán lần 4 năm 2019-2020 tại trường THCS Trưng Vương Hà Nội

Trường THCS Trưng Vương, địa chỉ tại quận Hoàn Kiếm, thành phố Hà Nội, đã tổ chức kỳ thi khảo sát chất lượng môn Toán lớp 9 năm học 2019-2020 lần thứ tư vào ngày 07/07/2020, nhằm chuẩn bị cho kỳ thi tuyển sinh vào lớp 10 môn Toán do sở GD&ĐT Hà Nội tổ chức.

Đề khảo sát Toán lớp 9 lần 4 năm 2019-2020 tại trường THCS Trưng Vương gồm 05 bài toán dạng tự luận trên 01 trang, thời gian làm bài là 90 phút. Đề thi được xây dựng theo cấu trúc tương tự đề tuyển sinh vào lớp 10 môn Toán của sở GD&ĐT Hà Nội trong những năm gần đây.

Ví dụ về nội dung câu hỏi trong đề khảo sát:

- Cho một số tự nhiên có hai chữ số. Biết hiệu của chữ số hàng chục và chữ số hàng đơn vị là 2, còn tổng các nghịch đảo của chữ số hàng chục và chữ số hàng đơn vị là 7/24. Tìm số có hai chữ số đó.
- Để đo đường kính phần dưới của một chiếc hồ lô, ta dùng một đoạn dây quấn vừa đủ một vòng quanh đường tròn lớn và đo độ dài đoạn dây đó được 145 cm. Hỏi phần dưới của chiếc hồ lô đó có đường kính là bao nhiêu centimet? (Lấy pi = 3,14 và làm tròn kết quả đến hai chữ số sau dấu phẩy).
- Trong mặt phẳng Oxy, cho parabol (P): y = x^2 và đường thẳng (d): y = 2(m + 1)x - m^2 - 2. a) Tìm m để (d) cắt (P) tại hai điểm A và B phân biệt. b) Gọi x1, x2 lần lượt là hoành độ của điểm A và B. Tìm m để x1^2 + x1x2 + 2 = 3x1 + x2.

Kỳ thi khảo sát này giúp học sinh ôn tập kiến thức, làm quen với cấu trúc và dạng bài tương tự với kỳ thi sắp tới, từ đó nâng cao năng lực và cơ hội đạt kết quả tốt trong kỳ thi tuyển sinh vào lớp 10 sắp tới.

Bình luận (4)

23-Nguyễn Xuân Nhàn-8A

Em rất vui khi được tiếp cận với tài liệu đề khảo sát này. Đây là cơ hội tuyệt vời để rèn luyện kỹ năng và kiến thức của mình trước kỳ thi quan trọng. Cảm ơn trường THCS Trưng Vương Hà Nội đã tổ chức và cung cấp tài liệu này.

Trả lời.

GV. Đỗ Hồng Long

Tôi muốn bày tỏ lòng biết ơn sâu sắc đến các thầy cô đã biên soạn đề khảo sát lớp 9 môn Toán lần 4 năm 2019 2020. Điều này thật sự giúp đỡ học sinh có cơ hội ôn tập và nâng cao kiến thức của mình.

Trả lời.

Nguyễn Lê Bảo Ngọc

Em thực sự cảm động khi thầy cô tận tâm biên soạn đề khảo sát này để giúp học sinh ôn tập và chuẩn bị tốt cho kỳ thi sắp tới. Những câu hỏi trong đề thi rất hữu ích và đa dạng.

Trả lời.

Nguyễn Thị Thảo Vy

Tôi rất phấn khích khi thấy tài liệu khảo sát lớp 9 môn Toán lần 4 năm 2019 2020 của trường THCS Trưng Vương Hà Nội. Đề thi rất chất lượng và mang tính chất thử thách cao, chắc chắn sẽ giúp học sinh rèn luyện kỹ năng giải bài tập.

Trả lời.
Nhấn vào đây để đánh giá
Thông tin người gửi
1.49646 sec| 2476.695 kb