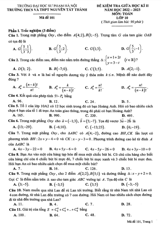
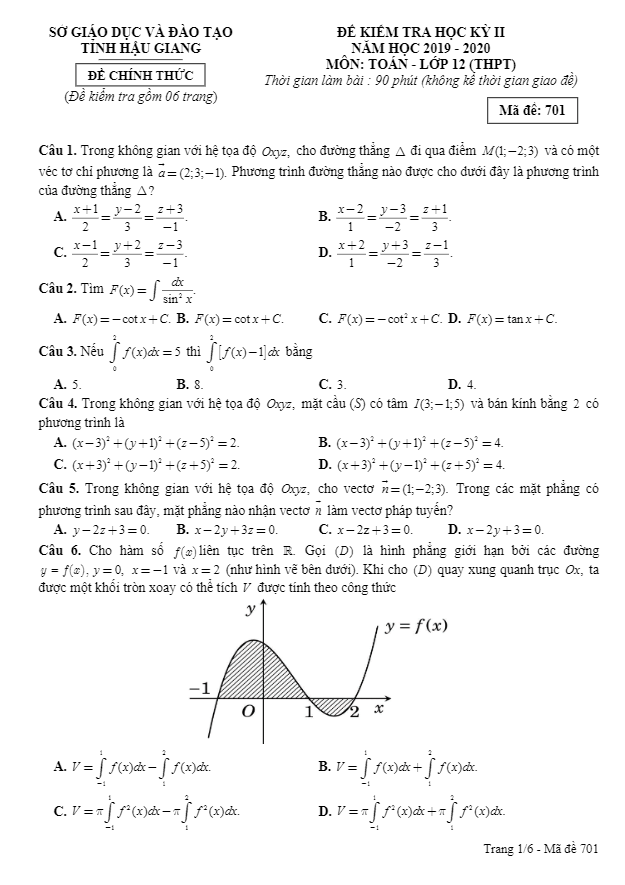
Đề khảo sát lớp 9 môn Toán năm 2019 2020 phòng GD ĐT Thanh Xuân Hà Nội

Đề khảo sát lớp 9 môn Toán năm 2019 2020 phòng GD ĐT Thanh Xuân Hà Nội
Mời thí sinh CLICK vào liên kết hoặc ảnh bên dưới Mở ứng dụng Shopee để tiếp tục làm bài thi
https://s.shopee.vn/AKN2JyAJAw
sytu.net và đội ngũ nhân viên xin chân thành cảm ơn!

Nội dung Đề khảo sát lớp 9 môn Toán năm 2019 2020 phòng GD ĐT Thanh Xuân Hà Nội Bản PDF

Đề khảo sát lớp 9 môn Toán năm 2019 2020 phòng GD ĐT Thanh Xuân Hà Nội

Ngày 30 tháng 05 năm 2020, phòng Giáo dục và Đào tạo quận Thanh Xuân, thành phố Hà Nội đã tổ chức kỳ thi kiểm tra khảo sát học sinh lớp 9 môn Toán giai đoạn học kỳ 2 năm học 2019 – 2020. Đề khảo sát Toán lớp 9 năm 2019 – 2020 phòng GD&ĐT Thanh Xuân – Hà Nội gồm có 05 bài toán dạng tự luận, thời gian làm bài 90 phút, đề thi có 01 trang.

Trích dẫn đề khảo sát Toán lớp 9 năm 2019 – 2020 phòng GD&ĐT Thanh Xuân – Hà Nội:

1. Vào thời điểm các tia nắng mặt trời tạo với mặt đất một góc 60°, bóng của một cái tháp trên mặt đất dài 20m. Tính chiều cao của tháp (kết quả làm tròn đến chữ số thập phân thứ hai).

2. Trong mặt phẳng tọa độ Oxy, cho parabol (P): y = x^2 và đường thẳng (d): y = mx + 2. a) Tìm m để đường thẳng (d) đi qua điểm A(2;3). b) Tìm tất cả giá trị của m để đường thẳng (d) cắt parabol (P) tại hai điểm phân biệt có tọa độ thỏa mãn y1 + y2 = 5.

3. Cho nửa đường tròn tâm O đường kính AB. C là một điểm nằm trên đoạn OA (C khác A; C khác O). Trên nửa mặt phẳng bờ AB chứa nửa đường tròn, vẽ các tia tiếp tuyến Ax và By với nửa đường tròn. M là điểm nằm trên nửa đường tròn (M khác A; M khác B). Đường thẳng qua M vuông góc với MC cắt các tia Ax, By lần lượt tại P và Q. a) Chứng minh tứ giác APMC nội tiếp. b) Chứng minh hai tam giác MAB và CPQ đồng dạng. c) Gọi D là giao điểm của CP và AM; E là giao điểm của CQ và BM. Chứng minh OM đi qua trung điểm của DE.

Bình luận (5)

Ngoc Nguyen

Em cảm thấy hạnh phúc khi có cơ hội tham gia khảo sát với đề thi chất lượng như vậy. Mong rằng các bài học từ đề này sẽ giúp em cải thiện kiến thức toán của mình.

Trả lời.

Phương Smisun

Đề khảo sát này thực sự là một bước đột phá trong việc đẩy mạnh chất lượng giáo dục ở trường học. Tôi tin rằng học sinh sẽ rút ra nhiều bài học bổ ích từ việc làm đề này.

Trả lời.

Bội Ngọc Cao

Em cảm thấy vui vẻ khi biết có tài liệu khảo sát chất lượng như vậy. Đây là cơ hội tốt để học sinh có thể thử thách kiến thức và kỹ năng của mình.

Trả lời.

-Đấng-

Tôi rất biết ơn với công sức mà phòng GD ĐT Thanh Xuân Hà Nội đã bỏ ra để tổ chức kiểm tra chất lượng như vậy. Điều này thực sự thúc đẩy học sinh nỗ lực hơn trong học tập.

Trả lời.

nsikssh

Em thật sự cảm động với sự chu đáo của giáo viên trong việc soạn ra đề khảo sát này. Những câu hỏi được xây*** logic, giúp học sinh phát triển trí tuệ một cách toàn diện.

Trả lời.
Nhấn vào đây để đánh giá
Thông tin người gửi
1.78205 sec| 2475.141 kb