Đề khảo sát lớp 9 môn Toán năm 2020 2021 trường THCS Phan Chu Trinh Hà Nội

Đề khảo sát lớp 9 môn Toán năm 2020 2021 trường THCS Phan Chu Trinh Hà Nội
Mời thí sinh CLICK vào liên kết hoặc ảnh bên dưới Mở ứng dụng Shopee để tiếp tục làm bài thi
https://s.shopee.vn/AKN2JyAJAw
sytu.net và đội ngũ nhân viên xin chân thành cảm ơn!

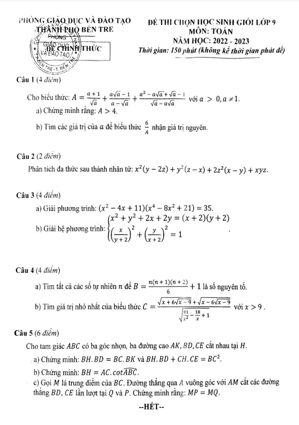
Nội dung Đề khảo sát lớp 9 môn Toán năm 2020 2021 trường THCS Phan Chu Trinh Hà Nội Bản PDF

Đề khảo sát Toán lớp 9 năm 2020 – 2021 trường THCS Phan Chu Trinh – Hà Nội

Trong bài khảo sát Toán lớp 9 năm 2020 – 2021 của trường THCS Phan Chu Trinh, quận Ba Đình, thành phố Hà Nội, có các câu hỏi đa dạng và phong phú để kiểm tra kiến thức và kỹ năng của học sinh. Một số câu hỏi được trích dẫn như sau:

1. So sánh thể tích của hộp sữa hình trụ với thể tích của hình cầu có đường kính 8cm.

2. Tìm m để đường thẳng đi qua điểm P(2, -1) và có phương trình y = mx + 2 cắt (P) tại hai điểm phân biệt.

3. Chứng minh rằng tứ giác BHCM là hình bình hành và tính độ dài của đoạn AH theo R trong trường hợp điểm A chuyển động trên cung lớn BC sao cho tam giác ABC có ba góc nhọn.

4. Chứng minh rằng tứ giác DPHQ nội tiếp và PQ < HD trong trường hợp DP vuông góc với BE tại P, đường thẳng qua P và vuông góc với đường kính AM cắt CF tại Q.

Đề khảo sát này không chỉ giúp học sinh ôn tập kiến thức mà còn giúp họ phát triển kỹ năng giải quyết vấn đề và tư duy logic. Đáp án và lời giải chi tiết sẽ giúp họ hiểu rõ từng bước giải quyết vấn đề và nâng cao kiến thức Toán của mình.

Hy vọng rằng đề khảo sát này sẽ giúp các em học sinh thực hành và củng cố kiến thức Toán một cách hiệu quả.

Bình luận (5)

tomngo

Tôi rất biết ơn với những người đã làm tài liệu này, nó thật sự giúp đỡ học sinh trong việc ôn tập và nắm vững kiến thức Toán lớp 9.

Trả lời.

Minh Khánh

Em thấy cảm động với sự chăm sóc của giáo viên khi tổ chức đề khảo sát này, đây là cơ hội tuyệt vời để ôn tập kiến thức cho kỳ thi sắp tới.

Trả lời.

Hồngg Quin

Tài liệu này thật sự là một công cụ hữu ích đối với các học sinh trường THCS Phan Chu Trinh Hà Nội, cảm ơn nhà trường đã chuẩn bị kỹ lưỡng.

Trả lời.

Nguyễn Thị Thúy Hường

Em cảm thấy phấn khích khi được tìm hiểu các câu hỏi trong đề khảo sát này, chúng giúp em rèn luyện kỹ năng giải toán hiệu quả hơn.

Trả lời.

Trang

Tôi rất vui khi có cơ hội tham gia khảo sát này, tài liệu rất chi tiết và hữu ích cho việc ôn tập của học sinh lớp 9.

Trả lời.
Nhấn vào đây để đánh giá
Thông tin người gửi
1.96897 sec| 2475.602 kb