Đề kiểm tra chất lượng giữa học kì 1 (HK1) lớp 12 môn Toán năm 2018 2019 trường Trần Hưng Đạo Nam Định

Đề kiểm tra chất lượng giữa học kì 1 (HK1) lớp 12 môn Toán năm 2018 2019 trường Trần Hưng Đạo Nam Định

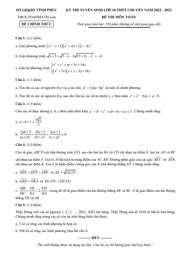
Nội dung Đề kiểm tra chất lượng giữa học kì 1 (HK1) lớp 12 môn Toán năm 2018 2019 trường Trần Hưng Đạo Nam Định Bản PDF

Đề kiểm tra chất lượng Toán lớp 12 trường Trần Hưng Đạo Nam Định

Đề kiểm tra chất lượng giữa học kì 1 môn Toán lớp 12 năm 2018 - 2019 tại trường Trần Hưng Đạo Nam Định được chia sẻ bởi các thầy cô giáo nhà trường để hỗ trợ học sinh trong việc ôn tập trước kỳ thi. Bài kiểm tra bao gồm 50 câu hỏi và bài toán được biên soạn theo hình thức trắc nghiệm, học sinh cần hoàn thành trong thời gian 90 phút. Đề thi giúp học sinh rèn luyện và kiểm tra kiến thức trước khi bước vào kỳ thi chính thức.

Bình luận (5)

N.T.K Channel

Tôi rất thích đề kiểm tra này vì nó thật sự là một bước tiến quan trọng trong việc nâng cao kiến thức Toán của học sinh. Mong rằng các bạn sẽ đạt kết quả tốt!

Trả lời.

Hải phụng

Phấn khích quá! Dù có khó khăn, nhưng em cảm thấy hứng thú và muốn giải quyết từng bài toán trong đề thi này.

Trả lời.

gay

Cảm động quá! Đề thi này giúp em nhận ra những điểm yếu trong kiến thức của mình, sẽ cố gắng hơn nữa để hoàn thiện bản thân.

Trả lời.

Chos Chos

Em rất biết ơn thầy/cô đã chuẩn bị đề thi chất lượng như thế này, giúp em tự tin hơn khi làm bài.

Trả lời.

Trang Đỗ

Vui quá! Đề kiểm tra này đặc biệt thú vị và thách thức, chắc chắn sẽ giúp học sinh rèn luyện kiến thức Toán một cách hiệu quả.

Trả lời.
Nhấn vào đây để đánh giá
Thông tin người gửi
0.99546 sec| 2474.023 kb