Đề kiểm tra cuối học kì 1 (HK1) lớp 9 môn Toán năm 2023 2024 sở GD ĐT Bắc Ninh

Đề kiểm tra cuối học kì 1 (HK1) lớp 9 môn Toán năm 2023 2024 sở GD ĐT Bắc Ninh
Mời thí sinh CLICK vào liên kết hoặc ảnh bên dưới Mở ứng dụng Shopee để tiếp tục làm bài thi
https://s.shopee.vn/AKN2JyAJAw
sytu.net và đội ngũ nhân viên xin chân thành cảm ơn!

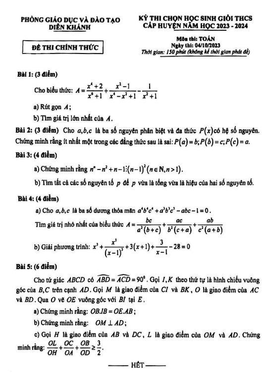
Nội dung Đề kiểm tra cuối học kì 1 (HK1) lớp 9 môn Toán năm 2023 2024 sở GD ĐT Bắc Ninh Bản PDF

Đề kiểm tra cuối học kỳ 1 lớp 9 môn Toán năm 2023-2024

Xin chào quý thầy cô và các em học sinh lớp 9! Dưới đây là đề kiểm tra cuối học kì 1 môn Toán lớp 9 năm học 2023-2024 của sở Giáo dục và Đào tạo tỉnh Bắc Ninh. Kỳ thi sẽ diễn ra vào thứ Ba ngày 26 tháng 12 năm 2023. Đề thi bao gồm các câu hỏi trắc nghiệm và tự luận với đáp án và hướng dẫn chấm.

Trích dẫn một số câu hỏi trong đề thi:

  1. Cho hàm số bậc nhất \( y = mx + 1 \) (với m là tham số).
    • a) Tìm tất cả giá trị của m để hàm số đồng biến.
    • b) Tìm giá trị của m để đồ thị hàm số đi qua điểm B(1,1). Với giá trị m tìm được, hãy tìm tọa độ giao điểm A của đồ thị hàm số và đường thẳng \( y = 2x + 2 \).
  2. Cho đường tròn O và điểm A nằm ngoài đường tròn.
    • a) Chứng minh rằng AO vuông góc với BC (với B, C là tiếp điểm).
    • b) Kẻ đường kính BD của đường tròn O. AD cắt đường tròn O tại E (E khác D). Chứng minh \( \frac{AB}{AD} = \frac{AE}{AD} \) và \( \frac{AE}{AD} = \frac{AH}{AO} \).
    • c) Tia AO cắt đường tròn tại I, J. Chứng minh \( \angle AJI = \angle IHA \) và \( \angle AIJ = \angle JHA \).
  3. Trong mặt phẳng tọa độ, thiết bị âm thanh phát từ vị trí A(4,4). Hỏi máy thu tín hiệu được đặt ở vị trí nào để nhận tín hiệu sớm nhất trên đường thẳng \( y = x + 3 \).

Hy vọng đề thi sẽ giúp các em học sinh ôn tập và củng cố kiến thức trước kỳ thi sắp tới. Chúc các em thành công!

Bình luận (5)

cao thị linh

Em thật sự thấy hứng thú khi được làm quen với các bài tập thú vị trong đề kiểm tra, cảm ơn tác giả rất nhiều.

Trả lời.

hune

Tôi rất ấn tượng với cách sắp xếp nội dung trong đề kiểm tra, giúp học sinh dễ dàng tiếp cận và hiểu bài tốt hơn.

Trả lời.

Anh Luca

Em cảm thấy rất cảm động khi thấy đề kiểm tra này được biên soạn một cách tỉ mỉ và chuẩn xác như vậy.

Trả lời.

Thúy phượng Hồ

Tôi rất phấn khích để thử sức mình với các câu hỏi trong đề kiểm tra này, cảm giác thử thách thật sự tuyệt vời.

Trả lời.

Anh Đào

Em thực sự biết ơn sự chu đáo từ phía sở GD ĐT Bắc Ninh khi cung cấp tài liệu ôn tập chất lượng như vậy.

Trả lời.
Nhấn vào đây để đánh giá
Thông tin người gửi
1.20537 sec| 2479.82 kb