Đề kiểm tra định kỳ lớp 10 môn Toán lần 1 năm 2018 2019 sở GD và ĐT Bắc Ninh

Đề kiểm tra định kỳ lớp 10 môn Toán lần 1 năm 2018 2019 sở GD và ĐT Bắc Ninh
Mời thí sinh CLICK vào liên kết hoặc ảnh bên dưới Mở ứng dụng Shopee để tiếp tục làm bài thi
https://s.shopee.vn/AKN2JyAJAw
sytu.net và đội ngũ nhân viên xin chân thành cảm ơn!

Nội dung Đề kiểm tra định kỳ lớp 10 môn Toán lần 1 năm 2018 2019 sở GD và ĐT Bắc Ninh Bản PDF

Đề kiểm tra định kỳ lớp 10 môn Toán lần 1 năm 2018 2019 sở GD và ĐT Bắc Ninh

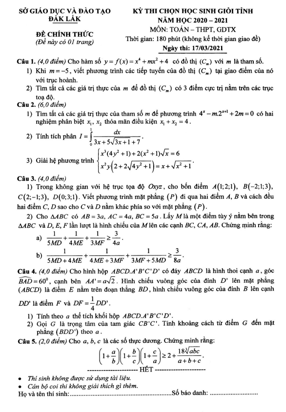
Đề kiểm tra định kỳ Toán lớp 10 lần 1 năm 2018 – 2019 sở GD và ĐT Bắc Ninh bao gồm 1 trang với 5 bài toán tự luận, thời gian làm bài 90 phút (không kể thời gian phát đề). Mục tiêu của đề thi là đánh giá tổng quát lại các kiến thức Toán lớp 10 mà học sinh đã học trong giai đoạn học kỳ 1 vừa qua của năm học 2018 – 2019, đồng thời cung cấp lời giải chi tiết cho từng bài toán.

Một số bài toán trong đề kiểm tra Toán lớp 10 lần 1 năm 2018 – 2019 sở GD và ĐT Bắc Ninh:

  1. Bài toán 1: Xác định giá trị của biểu thức T = x1^2 + x2^2 + x1 + x2 trong phương trình 2x^2 – 4mx – 1 = 0 với m là tham số.
  2. Bài toán 2: Tìm điều kiện để 3 điểm M, B, I trên tam giác ABC thẳng hàng, với D là điểm trên cạnh BC sao cho DB = 2DC, I là trung điểm của AD, và M là điểm trên cạnh AC sao cho MA = xMC.
  3. Bài toán 3: Trong mặt phẳng Oxy, xác định các tọa độ của các điểm A(0;-1), B(2;3), G(1;2) và giải các câu hỏi liên quan đến tam giác ABC nhận G làm trọng tâm.

Đề thi này không chỉ giúp học sinh ôn tập kiến thức mà còn giúp họ rèn luyện kỹ năng giải bài toán, tư duy logic và khả năng vận dụng kiến thức vào thực hành.

Bình luận (4)

Nguyễn Hồ Bảo Ngọc

Em cảm thấy cảm động trước sự quan tâm và hỗ trợ từ sở GD và ĐT Bắc Ninh khi cung cấp đề kiểm tra định kỳ đến cho học sinh. Điều này giúp em có cơ hội rèn luyện và nâng cao kiến thức môn Toán của mình.

Trả lời.

hiền Minh

Tôi rất biết ơn sở GD và ĐT Bắc Ninh đã chuẩn bị cho học sinh đề kiểm tra định kỳ như vậy. Điều này thể hiện sự quan tâm và chăm sóc đến việc phát triển kiến thức của các em học sinh.

Trả lời.

UYÊN NGÔ

Em cảm thấy rất vui khi có cơ hội thử sức với đề kiểm tra này. Đây sẽ là bước đệm quan trọng để em tự đánh giá được khả năng và kỹ năng của mình trong môn Toán.

Trả lời.

Đỗ Hữu Khương

Tôi rất phấn khích khi biết được có đề kiểm tra định kỳ lớp 10 môn Toán lần 1 năm 2018 2019 từ sở GD và ĐT Bắc Ninh. Đây là cơ hội tuyệt vời để học sinh tự kiểm tra kiến thức và chuẩn bị tốt cho kỳ thi sắp tới.

Trả lời.
Nhấn vào đây để đánh giá
Thông tin người gửi
3.21907 sec| 2475.398 kb