Đề kiểm tra giữa học kì 1 (HK1) lớp 9 môn Toán năm 2023 2024 sở GD ĐT Bắc Ninh

Đề kiểm tra giữa học kì 1 (HK1) lớp 9 môn Toán năm 2023 2024 sở GD ĐT Bắc Ninh
Mời thí sinh CLICK vào liên kết hoặc ảnh bên dưới Mở ứng dụng Shopee để tiếp tục làm bài thi
https://s.shopee.vn/AKN2JyAJAw
sytu.net và đội ngũ nhân viên xin chân thành cảm ơn!

Nội dung Đề kiểm tra giữa học kì 1 (HK1) lớp 9 môn Toán năm 2023 2024 sở GD ĐT Bắc Ninh Bản PDF

Đề kiểm tra giữa học kì 1 (HK1) lớp 9 môn Toán năm 2023 2024 sở GD ĐT Bắc Ninh

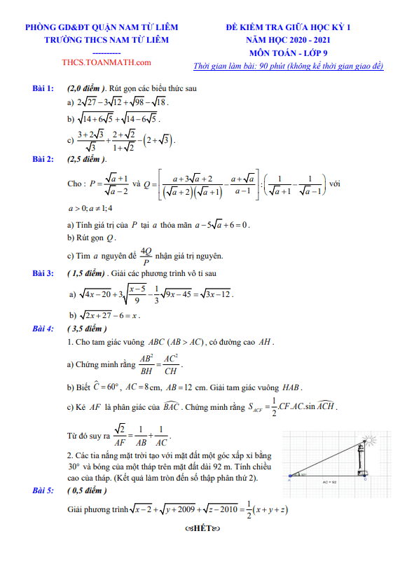
Sytu xin gửi đến các thầy cô giáo và các em học sinh lớp 9 đề kiểm tra giữa học kỳ 1 môn Toán lớp 9 năm học 2023 – 2024 sở Giáo dục và Đào tạo tỉnh Bắc Ninh. Kỳ thi sẽ diễn ra vào thứ Năm, ngày 02 tháng 11 năm 2023. Đề thi bao gồm câu hỏi trắc nghiệm và hướng dẫn chấm tự luận.

Trích dẫn một câu hỏi từ Đề kiểm tra giữa học kỳ 1 Toán lớp 9 năm 2023 – 2024 sở GD&ĐT Bắc Ninh:
Một người đứng ở mặt đất cách tháp ăng-ten 150m. Khi nhìn thấy đỉnh tháp, góc nhìn của người đó so với đường nằm ngang là 20°. Khoảng cách từ mắt đến mặt đất của người đó là 1,5m. Hỏi chiều cao của tháp là bao nhiêu (kết quả làm tròn đến chữ số thập phân thứ nhất).

Câu hỏi khác:
Tam giác ABC vuông tại A, đường cao AH. a) Biết BH = 9cm; CH = 4cm. Tính độ dài các đoạn thẳng AB, AC, AH. b) Gọi E là hình chiếu của H trên AB. Chứng minh AE.AB = HB.HC. c) Đường thẳng qua B vuông góc với AB cắt tia AH tại F. Gọi M là hình chiếu của H trên BF. Chứng minh rằng HE2/HA2 + HM2/HF2 = 1.

Đề kiểm tra sẽ giúp các em ôn tập và kiểm tra kiến thức đã học trong suốt thời gian qua. Chúc các em đạt kết quả tốt!

Bình luận (5)

Nguyễn Song An

Em cảm thấy rất phấn khích khi có cơ hội tham gia vào bài kiểm tra này, hy vọng sẽ có kết quả tốt sau khi làm xong đề.

Trả lời.

Nguyệt Nguyễn Thị

Tôi khuyến khích học sinh nên sử dụng đề kiểm tra này để ôn tập và kiểm tra kiến thức của mình, đồng thời rèn luyện sự kiên trì và kiểm soát thời gian.

Trả lời.

Hoa Le

Em thấy mình có thể học được nhiều điều mới từ các bài toán trong đề kiểm tra này, giúp em nâng cao kỹ năng giải quyết vấn đề.

Trả lời.

17- Ngọc Nghĩa

Tôi tin rằng việc ôn tập và làm bài trên bộ đề kiểm tra này sẽ giúp học sinh nắm vững kiến thức và tự tin hơn khi học Toán.

Trả lời.

Nguyễn Thị Lý

Em rất háo hức và chờ đợi được thử sức với các câu hỏi trong đề kiểm tra này để biết mình đã tiến bộ đến đâu trong môn Toán.

Trả lời.
Nhấn vào đây để đánh giá
Thông tin người gửi
1.61537 sec| 2475.352 kb