Đề kiểm tra học kì 1 (HK1) lớp 12 môn Toán năm 2020 2021 sở GD ĐT Quảng Nam

Đề kiểm tra học kì 1 (HK1) lớp 12 môn Toán năm 2020 2021 sở GD ĐT Quảng Nam
Mời thí sinh CLICK vào liên kết hoặc ảnh bên dưới Mở ứng dụng Shopee để tiếp tục làm bài thi
https://s.shopee.vn/AKN2JyAJAw
sytu.net và đội ngũ nhân viên xin chân thành cảm ơn!

Nội dung Đề kiểm tra học kì 1 (HK1) lớp 12 môn Toán năm 2020 2021 sở GD ĐT Quảng Nam Bản PDF

Đề kiểm tra HK1 Toán lớp 12 năm 2020-2021 sở GD&ĐT Quảng Nam

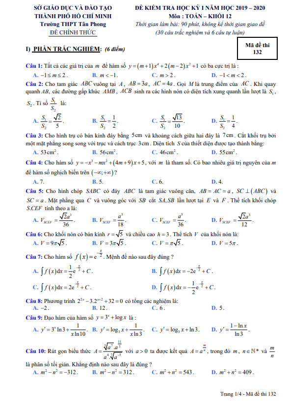
Vào ngày 08/01/2021, Sở Giáo dục và Đào tạo tỉnh Quảng Nam đã tổ chức kỳ thi kiểm tra chất lượng học tập môn Toán lớp 12 cuối học kì 1 (HK1) năm học 2020-2021. Đề kiểm tra này được biên soạn theo hình thức 100% trắc nghiệm, bao gồm 32 câu hỏi và bài toán trải qua 03 trang đề, với thời gian làm bài là 90 phút. Đề thi có đáp án mã đề từ 101 đến 124.

Một số câu hỏi trong đề kiểm tra:

- Cho hình lăng trụ ABC.A'B'C' có đáy ABC là tam giác đều cạnh a. Hình chiếu vuông góc của A' lên mặt phẳng (ABC) thuộc miền trong tam giác ABC. Các mặt phẳng (A'AB), (A'BC), (A'CA) lần lượt hợp với mặt phẳng (ABC) các góc 60 độ, 45 độ, 60 độ. Thể tích của khối lăng trụ ABC.A'B'C' bằng bao nhiêu?

- Ông Anh gửi số tiền 10.000.000 đồng vào một ngân hàng với lãi suất 5%/năm. Nếu không rút tiền ra, số tiền lãi sẽ được nhập vào vốn ban đầu sau mỗi năm. Sau 8 năm, ông Anh sẽ nhận được số tiền gần nhất với số tiền nào dưới đây: A. 10.407.070 đồng, B. 14.774.554 đồng, C. 14.071.004 đồng, D. 15.513.282 đồng

- Có bao nhiêu giá trị nguyên của tham số m thuộc khoảng (-10;10) sao cho đồ thị hàm số y = x^3 - 2mx^2 + (2m + 6)x có hai điểm cực trị nằm về hai phía khác nhau của trục hoành?

Đề kiểm tra HK1 Toán lớp 12 năm 2020-2021 sở GD&ĐT Quảng Nam đã mang đến những câu hỏi thú vị và thử thách đối với các học sinh, giúp họ củng cố kiến thức và kỹ năng giải toán. Cùng chúc các em học sinh đạt kết quả cao trong kỳ thi này!

Bình luận (5)

Nguyễn Đình Thái Khang

Tôi sẽ dành thời gian ôn tập và giải các câu hỏi trong Đề kiểm tra học kì 1 lớp 12 môn Toán của Quảng Nam để có kết quả tốt nhất. Hãy cùng nhau cố gắng, các em học sinh ơi!

Trả lời.

Bích Đỗ

Em đã lần mò trên internet suốt mấy ngày qua để tìm tài liệu ôn thi, và cuối cùng đã phát hiện ra bộ Đề kiểm tra học kì 1 lớp 12 Toán này. Cảm giác thật sự đáng quý.

Trả lời.

Mỹ Hoa Chung

Tôi sẽ chia sẻ tài liệu Đề kiểm tra học kì 1 lớp 12 môn Toán của Quảng Nam cho học sinh của mình. Đây là cơ hội tuyệt vời để họ rèn luyện kỹ năng giải đề.

Trả lời.

Như Nguyệt

Em cảm thấy bị áp lực hơn khi sắp phải đối mặt với Đề kiểm tra học kì 1 lớp 12 Toán. Nhưng cũng có phần hồi hộp và hứng thú với việc ôn tập.

Trả lời.

Lý Thanh Trang

Tôi muốn bày tỏ lòng biết ơn đến các tác giả đã biên soạn tài liệu này. Đây thực sự là nguồn lưu trữ kiến thức toán học quý giá.

Trả lời.
Nhấn vào đây để đánh giá
Thông tin người gửi
1.14627 sec| 2476.555 kb