Đề kiểm tra HSG lớp 11 môn Toán năm 2023 2024 trường THPT Nghèn Hà Tĩnh

Đề kiểm tra HSG lớp 11 môn Toán năm 2023 2024 trường THPT Nghèn Hà Tĩnh
Mời thí sinh CLICK vào liên kết hoặc ảnh bên dưới Mở ứng dụng Shopee để tiếp tục làm bài thi
https://s.shopee.vn/AKN2JyAJAw
sytu.net và đội ngũ nhân viên xin chân thành cảm ơn!

Nội dung Đề kiểm tra HSG lớp 11 môn Toán năm 2023 2024 trường THPT Nghèn Hà Tĩnh Bản PDF

Đề kiểm tra HSG lớp 11 môn Toán năm 2023 2024 trường THPT Nghèn Hà Tĩnh

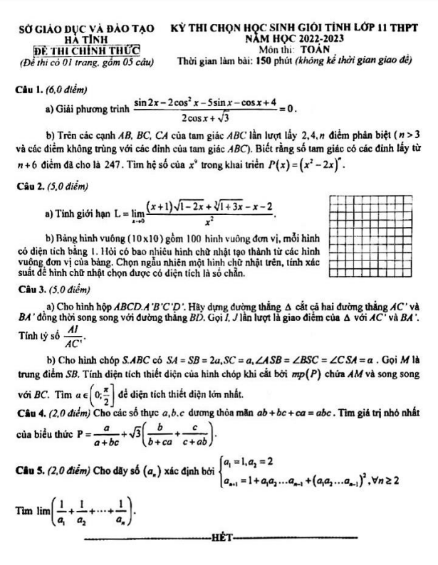
Sytu xin gửi đến quý thầy cô và các em học sinh lớp 11 đề kiểm tra đội tuyển học sinh giỏi môn Toán lớp 11 năm học 2023 – 2024 trường THPT Nghèn, tỉnh Hà Tĩnh. Đề thi bao gồm 01 trang với 07 bài toán dạng tự luận, thời gian làm bài 150 phút. Đề thi được xây dựng dựa trên chương trình học chuẩn của Bộ Giáo dục và Đào tạo, nhằm đánh giá kiến thức và kỹ năng của học sinh trong môn Toán. Hy vọng đây sẽ là cơ hội để các em thể hiện tài năng và sự đam mê với môn học Toán, cùng nhau chinh phục những thách thức và phát triển bản thân.

Bình luận (5)

Nguyễn Trần Thảo Vy

Tôi rất sẵn lòng chia sẻ tài liệu Đề kiểm tra HSG lớp 11 môn Toán này với các học sinh khác. Mong rằng nó sẽ giúp ích cho việc học tập của mọi người.

Trả lời.

anh hùng

Đây là một cơ hội tuyệt vời để các em học sinh thử sức và kiểm tra kiến thức của mình. Em sẽ cố gắng hoàn thành tốt bài kiểm tra này để thể hiện khả năng của mình.

Trả lời.

My My

Tôi tin rằng tài liệu này sẽ giúp các em học sinh tự tin hơn khi đối diện với các bài kiểm tra khó khăn. Cảm ơn nhà trường đã tạo điều kiện cho học sinh phát triển tốt hơn.

Trả lời.

???? Process 1.00 bitсоin. Verify => https://scrip

Em rất biết ơn với công sức mà nhà trường đã bỏ ra để biên soạn đề kiểm tra HSG lớp 11 môn Toán. Điều này thể hiện tinh thần tận tâm với giáo dục.

Trả lời.

Trâm Trâm

Tôi cảm động với sự chu đáo của trường THPT Nghèn Hà Tĩnh khi chuẩn bị đề kiểm tra HSG cho học sinh. Điều này cho thấy sự quan tâm và chăm sóc đến học sinh rất cao.

Trả lời.
Nhấn vào đây để đánh giá
Thông tin người gửi
0.91212 sec| 2473.242 kb