Đề kiểm tra khảo sát môn Toán trường THPT Thuận Thành 1 Bắc Ninh

Đề kiểm tra khảo sát môn Toán trường THPT Thuận Thành 1 Bắc Ninh
Mời thí sinh CLICK vào liên kết hoặc ảnh bên dưới Mở ứng dụng Shopee để tiếp tục làm bài thi
https://s.shopee.vn/AKN2JyAJAw
sytu.net và đội ngũ nhân viên xin chân thành cảm ơn!

Nội dung Đề kiểm tra khảo sát môn Toán trường THPT Thuận Thành 1 Bắc Ninh Bản PDF

Đề kiểm tra khảo sát môn Toán trường THPT Thuận Thành 1 Bắc Ninh

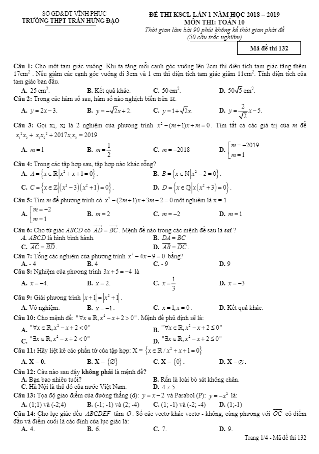
Đề kiểm tra khảo sát môn Toán lớp 10 trường THPT Thuận Thành 1 – Bắc Ninh có 50 câu hỏi trắc nghiệm. Dưới đây là một số bài toán trong đề:

1. Người ta dự định dùng hai loại nguyên liệu để chiết xuất ít nhất 140kg hóa chất A và 9kg hóa chất B. Từ mỗi tấn nguyên liệu loại I giá 4 triệu đồng, có thể chiết xuất được 20kg hóa chất A và 0,6kg hóa chất B. Từ mỗi tấn nguyên liệu loại II giá 3 triệu đồng, có thể chiết xuất được 10kg hóa chất A và 1,5kg hóa chất B. Hỏi phải dùng bao nhiêu tấn nguyên liệu mỗi loại để chi phí mua nguyên liệu ít nhất, biết rằng cơ sở cung cấp nguyên liệu chỉ có thể cung cấp không quá 10 tấn nguyên liệu loại I và không quá 9 tấn nguyên liệu loại II?

2. Tìm độ dài hai cạnh của một tam giác vuông biết rằng: Khi ta tăng mỗi cạnh 1 cm thì diện tích tăng 5,5 cm2; khi ta giảm chiều dài cạnh này 3 cm và cạnh kia 2 cm thì diện tích giảm 9 cm2. Đáp án đúng là?

3. Tìm khẳng định SAI trong các khẳng định sau: A. Phương sai luôn luôn lớn hơn độ lệch chuẩn B. Phương sai càng lớn thì độ phân tích của các giá trị quanh số trung bình càng lớn C. Phương sai luôn luôn là 1 số dương D. Phương sai là bình phương của độ lệch chuẩn.

Đây là những bài toán quan trọng và phức tạp trong bài kiểm tra môn Toán, giúp học sinh rèn luyện kỹ năng giải quyết vấn đề và logic trong suy nghĩ. Chúc các em thành công trong kỳ thi!

Bình luận (4)

Tien Dung

Em biết ơn không thể nói bằng lời khi đã có file PDF download đề kiểm tra Toán từ trường THPT Thuận Thành 1 Bắc Ninh. Điều này giúp em rèn luyện kỹ năng Toán một cách hiệu quả.

Trả lời.

Phạm Phương Linh

Tôi cảm thấy phấn khích khi có cơ hội thử sức với đề kiểm tra Toán từ trường THPT Thuận Thành 1 Bắc Ninh. Cảm ơn vì đã chia sẻ tài liệu hữu ích này.

Trả lời.

huyen tran

Em không thể tin được rằng mình đã tìm thấy đề kiểm tra Toán từ trường THPT Thuận Thành 1 Bắc Ninh. Có PDF download nữa, giúp em ôn tập hiệu quả hơn.

Trả lời.

Trang Bùi

Tôi rất vui khi tìm thấy tài liệu Đề kiểm tra khảo sát môn Toán trường THPT Thuận Thành 1 Bắc Ninh. Có file PDF download giúp cho việc luyện tập của học sinh trở nên thuận lợi hơn.

Trả lời.
Nhấn vào đây để đánh giá
Thông tin người gửi
2.20354 sec| 2475.773 kb