Đề kiểm tra kiến thức lớp 10 môn Toán cuối năm 2017 2018 trường Yên Dũng 2 Bắc Giang

Đề kiểm tra kiến thức lớp 10 môn Toán cuối năm 2017 2018 trường Yên Dũng 2 Bắc Giang

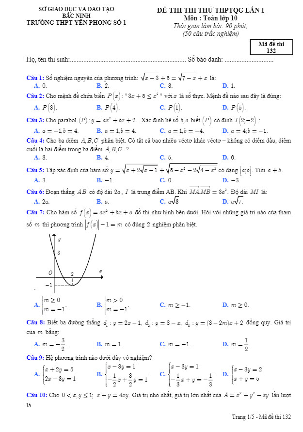
Nội dung Đề kiểm tra kiến thức lớp 10 môn Toán cuối năm 2017 2018 trường Yên Dũng 2 Bắc Giang Bản PDF

Đề kiểm tra kiến thức lớp 10 môn Toán cuối năm 2017 - 2018 trường Yên Dũng 2 Bắc Giang

Mô tả về đề kiểm tra kiến thức Toán lớp 10 cuối năm 2017 - 2018 trường Yên Dũng 2 - Bắc Giang: Đề thi mã 101 bao gồm 4 trang với tổng cộng 50 câu hỏi trắc nghiệm khách quan. Thời gian làm bài cho thí sinh là 90 phút và đề thi đi kèm với đáp án.

Một số câu hỏi mẫu trong đề kiểm tra kiến thức Toán lớp 10 cuối năm 2017 - 2018 trường Yên Dũng 2 - Bắc Giang: - Trong mặt phẳng Oxy, có hình chữ nhật ABCD với đỉnh B, C thuộc các đường thẳng a: 2x - y + 2 = 0, b: x - y - 5 = 0. Hình chiếu của B lên AC là H. Biết C có tung độ dương và M(9/5; 2/5), K(9; 2) lần lượt là trung điểm của AH, CD. Yêu cầu tính diện tích S của hình chữ nhật ABCD. - Trên một đường tròn lượng giác (O; 1), góc lượng giác (OA, OB) đo x và góc lượng giác (OA, OC) đo y với OA = OB = OC = 1, BC là đường kính. Mệnh đề nào luôn đúng với số nguyên k? - Có bao nhiêu tiếp tuyến của đường tròn x^2 + y^2 - 2x + 2y = 0, biết tiếp tuyến tạo với các trục tọa độ một tam giác cân.

Bình luận (5)

Maii Đỗ Huyền

Tôi thấy rất cảm động vì tài liệu này giúp học sinh có thêm nguồn luyện tập cho kỳ thi sắp tới. Cảm ơn người chia sẻ tài liệu này!

Trả lời.

Nguyễn Thái Trang Thy

Em vui mừng khi có thể tải về tài liệu này ngay, để tự kiểm tra và cải thiện kiến thức môn Toán của mình. Thật sự rất hữu ích!

Trả lời.

Lê Thanh Toàn

Tài liệu này là cơ hội tuyệt vời để học sinh tự kiểm tra cả kiến thức cá nhân, đồng thời nắm vững cấu trúc đề thi cuối năm. Cảm ơn tác giả rất nhiều!

Trả lời.

Phương Chi

Em thực sự biết ơn vì được chia sẻ tài liệu này, nó giúp em ôn tập Toán một cách hiệu quả và tự tin hơn khi làm bài thi.

Trả lời.

Trần Nguyễn Minh Quân

Tôi rất phấn khích khi thấy tài liệu này cung cấp đề kiểm tra Toán cuối năm của lớp 10, giúp học sinh tự kiểm tra kiến thức và chuẩn bị cho kỳ thi sắp tới.

Trả lời.
Nhấn vào đây để đánh giá
Thông tin người gửi
0.90353 sec| 2475.289 kb