Đề kiểm tra lớp 9 môn Toán năm 2023 2024 trường THCS Kim Giang Hà Nội

Đề kiểm tra lớp 9 môn Toán năm 2023 2024 trường THCS Kim Giang Hà Nội
Mời thí sinh CLICK vào liên kết hoặc ảnh bên dưới Mở ứng dụng Shopee để tiếp tục làm bài thi
https://s.shopee.vn/AKN2JyAJAw
sytu.net và đội ngũ nhân viên xin chân thành cảm ơn!

Nội dung Đề kiểm tra lớp 9 môn Toán năm 2023 2024 trường THCS Kim Giang Hà Nội Bản PDF

Đề kiểm tra lớp 9 môn Toán năm học 2023 - 2024 trường THCS Kim Giang Hà Nội

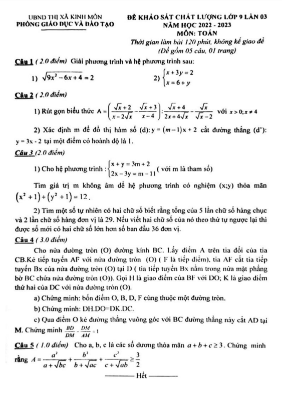
Chúng tôi xin giới thiệu đến quý thầy, cô giáo và các em học sinh lớp 9 đề kiểm tra môn Toán lớp 9 năm học 2023 - 2024 tại trường THCS Kim Giang, Hà Nội. Kỳ thi sẽ diễn ra vào ngày 22 tháng 09 năm 2023.

Nội dung của đề kiểm tra Toán lớp 9 năm 2023 - 2024 trường THCS Kim Giang - Hà Nội bao gồm các câu hỏi sau:

1) Cho hai biểu thức. a) Tính giá trị của A khi x = 9. b) Rút gọn biểu thức B. c) Biết P = A.B. Tìm tất cả các giá trị nguyên của x để biểu thức P có giá trị âm.

2) Giải bài toán: Một tổ sản xuất dự định làm một số sản phẩm trong 20 ngày với năng suất định trước. Do tăng năng suất thêm 5 sản phẩm mỗi ngày, tổ đó đã hoàn thành kế hoạch sớm hơn thời hạn dự định 1 ngày và còn vượt mức kế hoạch 60 sản phẩm. Hỏi tổ đó đã sản xuất được bao nhiêu sản phẩm?

3) Cho tam giác ABC và đường cao AH. Gọi I, K lần lượt là hình chiếu của H trên AB, AC. Chứng minh: a) AH2 = AI.AB và AI.AB = AK.AC. b) Các tam giác ABC và AKI đồng dạng. c) Kẻ thêm các đường cao BD và CE của tam giác ABC. Chứng minh ED // IK và rằng SDEH = (1 - cos2A - cos2B - cos2C).SABC.

Chúc các em học sinh lớp 9 trường THCS Kim Giang, Hà Nội đạt kết quả tốt trong kỳ thi của mình!

Bình luận (5)

Doombringer Villain

Em rất biết ơn vì có tài liệu hữu ích như vậy, đây chính là căn cứ để em tự tin bước vào kì thi sắp tới.

Trả lời.

tien le

Tôi tin rằng với sự hỗ trợ từ tài liệu này, học sinh sẽ tự tin hơn trong việc đối mặt với các bài toán khó trong đề kiểm tra.

Trả lời.

Nguyễn Huyền

Em không thể không cảm thấy hứng thú khi thấy có tài liệu ôn tập chất lượng như vậy, em sẽ ôn tập chăm chỉ để đạt kết quả cao trong kì thi.

Trả lời.

Vũ Dora

Tôi thấy mình may mắn khi được tiếp cận với tài liệu Đề kiểm tra lớp 9 này, nó giúp tôi cải thiện kỹ năng giải toán của mình.

Trả lời.

Ngọc Annh

Em cảm động trước sự chăm sóc và công phu trong việc soạn đề kiểm tra này, cảm giác như có người hướng dẫn và quan tâm đến em.

Trả lời.
Nhấn vào đây để đánh giá
Thông tin người gửi
1.65257 sec| 2475.195 kb