Đề KSCL giữa học kì 1 (HK1) lớp 12 môn Toán năm 2018 2019 trường THPT chuyên Đại học Vinh Nghệ An

Đề KSCL giữa học kì 1 (HK1) lớp 12 môn Toán năm 2018 2019 trường THPT chuyên Đại học Vinh Nghệ An

Nội dung Đề KSCL giữa học kì 1 (HK1) lớp 12 môn Toán năm 2018 2019 trường THPT chuyên Đại học Vinh Nghệ An Bản PDF

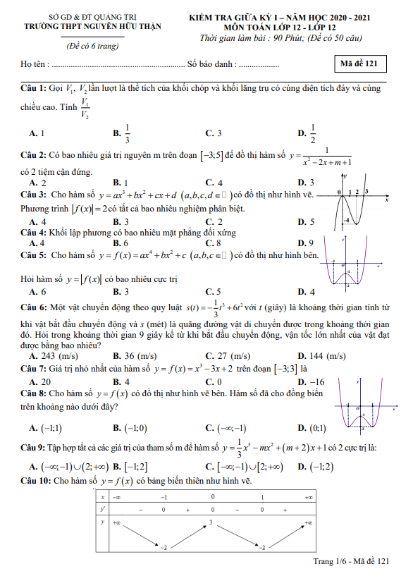
Đề KSCL giữa HK1 Toán lớp 12 năm 2018 – 2019 trường THPT chuyên Đại học Vinh – Nghệ An

Đề KSCL giữa HK1 Toán lớp 12 năm 2018 – 2019 của trường THPT chuyên Đại học Vinh – Nghệ An có mã đề 132 đã được biên soạn nhằm phục vụ việc đánh giá khả năng học tập của học sinh và giúp giáo viên điều chỉnh phương pháp dạy học. Đề thi bao gồm 50 câu hỏi và bài toán trắc nghiệm khách quan, học sinh sẽ có 90 phút để hoàn thành bài thi.

Trích dẫn một số câu hỏi từ đề KSCL giữa HK1 Toán lớp 12 năm 2018 – 2019 trường THPT chuyên Đại học Vinh – Nghệ An:

1. Sinh nhật của An vào ngày 1 tháng 5, An muốn mua chiếc máy ảnh giá khoảng 600.000 đồng để làm quà sinh nhật cho chính mình. An bắt đầu bỏ tiền vào ống tiết kiệm từ ngày 1 tháng 1 của năm đó, mỗi ngày bỏ ống 5.000 đồng. Hỏi đến ngày sinh nhật, An sẽ có bao nhiêu tiền trong ống tiết kiệm?

2. Trường THPT Chuyên Đại học Vinh có 13 lớp học sinh khối 10, 12 lớp học sinh khối 11 và 12 lớp học sinh khối 12. Nhân ngày nhà giáo Việt Nam 20 tháng 11, nhà trường chọn ngẫu nhiên 2 lớp để tham gia hội diễn văn nghệ. Xác suất để 2 lớp được chọn không cùng một khối là bao nhiêu?

3. Một vật chuyển động theo quy luật s = -1/2.t^3 + 9t^2, với t là thời gian (giây), s là quãng đường (mét). Tính vận tốc lớn nhất của vật trong khoảng thời gian 10 giây kể từ lúc bắt đầu chuyển động.

Đó là một số ví dụ về nội dung của Đề KSCL giữa HK1 Toán lớp 12 năm 2018 – 2019 trường THPT chuyên Đại học Vinh – Nghệ An. Qua đó, học sinh sẽ được thách thức và đánh giá khả năng toán học của mình để có thể phát triển hơn trong quá trình học tập.

Bình luận (4)

Tuấn

Tôi rất vui khi có cơ hội thực hành các bài toán trong đề KSCL này. Đây chắc chắn sẽ là một bài kiểm tra thú vị và bổ ích cho tất cả học sinh.

Trả lời.

Duong Nhai

Đề thi này thật sự là một cơ hội tuyệt vời để kiểm tra kiến thức và kỹ năng của mình. Em sẽ nỗ lực học hỏi để vượt qua thử thách này.

Trả lời.

Quang Dũng Trần

Em thực sự rất biết ơn vì đã có tài liệu đề KSCL này để ôn tập cho kì thi sắp tới. Cảm ơn những người đã tổ chức và soạn ra bài thi này!

Trả lời.

nguyễn dư

Tôi rất phấn khích khi thấy tài liệu đề KSCL giữa kì 1 môn Toán của trường THPT chuyên Đại học Vinh. Đề thi rất chất lượng và đầy đủ, giúp học sinh tự tin chuẩn bị cho kỳ thi sắp tới.

Trả lời.
Nhấn vào đây để đánh giá
Thông tin người gửi
1.80503 sec| 2484.813 kb