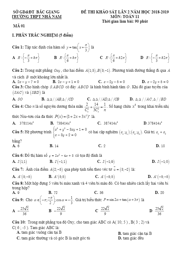
Đề KSCL lần 3 lớp 11 môn Toán năm 2020 2021 trường THPT Nguyễn Viết Xuân Vĩnh Phúc

Đề KSCL lần 3 lớp 11 môn Toán năm 2020 2021 trường THPT Nguyễn Viết Xuân Vĩnh Phúc

Nội dung Đề KSCL lần 3 lớp 11 môn Toán năm 2020 2021 trường THPT Nguyễn Viết Xuân Vĩnh Phúc Bản PDF

Đề KSCL lần 3 Toán lớp 11 năm 2020 - 2021 trường THPT Nguyễn Viết Xuân - Vĩnh Phúc

Vào ngày ... tháng 03 năm 2021, trường THPT Nguyễn Viết Xuân, huyện Vĩnh Tường, tỉnh Vĩnh Phúc đã tổ chức kỳ thi khảo sát chất lượng môn Toán lớp 11 năm học 2020 – 2021 lần thứ ba. Đề KSCL lần 3 Toán lớp 11 năm 2020 – 2021 trường THPT Nguyễn Viết Xuân - Vĩnh Phúc mã đề 019 gồm 04 trang với 50 câu hỏi và bài toán dạng trắc nghiệm khách quan, thời gian làm bài 90 phút, đề thi có đáp án.

Trong đề thi, có một số câu hỏi và bài toán đặc biệt như:

  1. Ở câu hỏi về xác suất, có một bài toán liên quan đến việc tung xúc sắc không đồng chất và tính xác suất xuất hiện các mặt của xúc sắc. Học sinh cần tính toán để tìm ra xác suất để sau 7 lần tung có đúng 3 lần xuất hiện số mặt chẵn và 4 lần xuất hiện số mặt lẻ.

  2. Trường hợp khác, bài toán về tứ diện ABCD yêu cầu học sinh tìm ra mặt phẳng chứa đường chéo MN và song song với cạnh CD của tứ diện. Đây là một bài toán yêu cầu học sinh áp dụng kiến thức về hình học không gian và tính tính chất của các mặt phẳng.

  3. Bài toán cuối cùng liên quan đến tứ diện ABCD và việc tính diện tích thiết diện khi cắt tứ diện bởi mặt phẳng chứa một đoạn thẳng trên cạnh của tứ diện. Đây là bài toán cần học sinh tư duy logic và trình bày phương pháp tính toán một cách rõ ràng.

Đề KSCL lần 3 Toán lớp 11 năm 2020 – 2021 trường THPT Nguyễn Viết Xuân - Vĩnh Phúc không chỉ đánh giá kiến thức của học sinh mà còn đánh giá khả năng áp dụng kiến thức vào các bài toán thực tế. Đây là cơ hội để học sinh thể hiện khả năng, sự cố gắng và kiến thức của mình trong môn Toán.

Bình luận (5)

Quang Phạm Anh

Em mong rằng sẽ có nhiều tài liệu ôn tập như vậy từ trường Nguyễn Viết Xuân. Đề KSCL môn Toán thực sự hữu ích để học sinh chuẩn bị cho kỳ thi sắp tới.

Trả lời.

Phạm Thị Hồng Phụng

Tôi rất cảm động khi thấy đề KSCL lớp 11 môn Toán năm 2020 2021 của trường Nguyễn Viết Xuân. Đây là cơ hội tuyệt vời cho học sinh rèn luyện và nâng cao kiến thức.

Trả lời.

Hoàng Thu Thảo

Em không thể không cảm thấy thú vị khi được làm các bài tập trong đề KSCL môn Toán này. Cảm ơn thầy cô đã dành nhiều công sức vào việc biên soạn tài liệu.

Trả lời.

Nguyễn thị vy

Tôi muốn bày tỏ lòng biết ơn đến thầy cô đã biên soạn đề KSCL môn Toán tuyệt vời như vậy. Điều này giúp học sinh tự tin hơn khi ôn tập.

Trả lời.

Lê Thịnh

Em cảm thấy đề KSCL lần 3 môn Toán năm nay rất thú vị. Những bài toán đều mang tính logic cao, giúp em phát triển tư duy toán học.

Trả lời.
Nhấn vào đây để đánh giá
Thông tin người gửi
1.22835 sec| 2480.758 kb