Đề KSCL lớp 9 môn Toán lần 1 năm 2020 2021 phòng GD ĐT Yên Lạc Vĩnh Phúc

Đề KSCL lớp 9 môn Toán lần 1 năm 2020 2021 phòng GD ĐT Yên Lạc Vĩnh Phúc
Mời thí sinh CLICK vào liên kết hoặc ảnh bên dưới Mở ứng dụng Shopee để tiếp tục làm bài thi
https://s.shopee.vn/AKN2JyAJAw
sytu.net và đội ngũ nhân viên xin chân thành cảm ơn!

Nội dung Đề KSCL lớp 9 môn Toán lần 1 năm 2020 2021 phòng GD ĐT Yên Lạc Vĩnh Phúc Bản PDF

Đề KSCL Toán lớp 9 lần 1 năm 2020 - 2021 phòng GD&ĐT Yên Lạc - Vĩnh Phúc

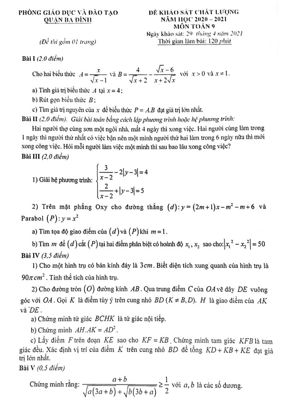
Đề KSCL Toán lớp 9 lần 1 năm 2020 - 2021 phòng GD&ĐT Yên Lạc - Vĩnh Phúc là bài thi có cấu trúc kết hợp giữa trắc nghiệm và tự luận. Bài thi bao gồm 04 câu trắc nghiệm, chiếm 02 điểm và 04 câu tự luận, chiếm 08 điểm. Thời gian làm bài là 120 phút, đề thi đi kèm đáp án và lời giải chi tiết để học sinh tham khảo.

Hướng dẫn chấm đề KSCL Toán lớp 9 lần 1 năm 2020 - 2021 phòng GD&ĐT Yên Lạc - Vĩnh Phúc nhấn mạnh việc trình bày giải phải rõ ràng, đầy đủ các bước cần thiết. Học sinh được tự do sáng tạo trong giải pháp, as long as it is correct and follows the required steps, họ sẽ nhận được điểm tối đa.

Trong quá trình chấm bài, nếu học sinh mắc phải sai sót ở một bước nào đó, các bước sau liên quan sẽ không được tính điểm. Đối với các bài hình học, việc vẽ hình chính xác là bắt buộc để được tính điểm. Nếu không có hình vẽ chính xác, vấn đề liên quan đến hình sẽ không được điểm.

Điểm số được tính dựa trên tổng điểm của các ý, các câu, với sự chia nhỏ đến 0.25 điểm và không làm tròn. Quy trình chấm điểm được thực hiện nghiêm ngặt để đảm bảo công bằng và minh bạch cho tất cả học sinh tham gia kỳ thi.

Bình luận (5)

bnqocc

Em rất vui vì đã tìm thấy Đề KSCL lớp 9 môn Toán lần 1 năm 2020 2021 của phòng GD ĐT Yên Lạc Vĩnh Phúc. Đây thực sự là một kho tài liệu hữu ích cho việc chuẩn bị thi cử của em.

Trả lời.

Phạm Thảo

Tôi muốn gửi lời cảm ơn chân thành tới phòng GD ĐT Yên Lạc Vĩnh Phúc vì đã đăng tải Đề KSCL lớp 9 môn Toán. Điều này giúp học sinh có thêm tài liệu ôn tập hiệu quả.

Trả lời.

Fyvh Fhv

Cám ơn phòng GD ĐT Yên Lạc Vĩnh Phúc đã chia sẻ Đề KSCL lớp 9 môn Toán lần 1 năm 2020 2021. Đây là nguồn tài liệu học thuật quý giá cho các em học sinh.

Trả lời.

Khoa

Em cảm thấy rất vui khi có cơ hội tải xuống file pdf của Đề KSCL lớp 9 môn Toán từ phòng GD ĐT Yên Lạc Vĩnh Phúc. Cám ơn các thầy cô đã công bố tài liệu ý nghĩa này.

Trả lời.

Dương Diễm My

Tôi rất phấn khích khi tìm thấy tài liệu Đề KSCL lớp 9 môn Toán lần 1 năm 2020 2021 từ phòng GD ĐT Yên Lạc Vĩnh Phúc. Đây là nguồn tài liệu hữu ích cho việc ôn tập của học sinh.

Trả lời.
Nhấn vào đây để đánh giá
Thông tin người gửi
2.28869 sec| 2474.453 kb