Đề Olympic lớp 6 môn Toán năm 2022 2023 phòng GD ĐT Quốc Oai Hà Nội

Đề Olympic lớp 6 môn Toán năm 2022 2023 phòng GD ĐT Quốc Oai Hà Nội
Mời thí sinh CLICK vào liên kết hoặc ảnh bên dưới Mở ứng dụng Shopee để tiếp tục làm bài thi
https://s.shopee.vn/AKN2JyAJAw
sytu.net và đội ngũ nhân viên xin chân thành cảm ơn!

Nội dung Đề Olympic lớp 6 môn Toán năm 2022 2023 phòng GD ĐT Quốc Oai Hà Nội Bản PDF

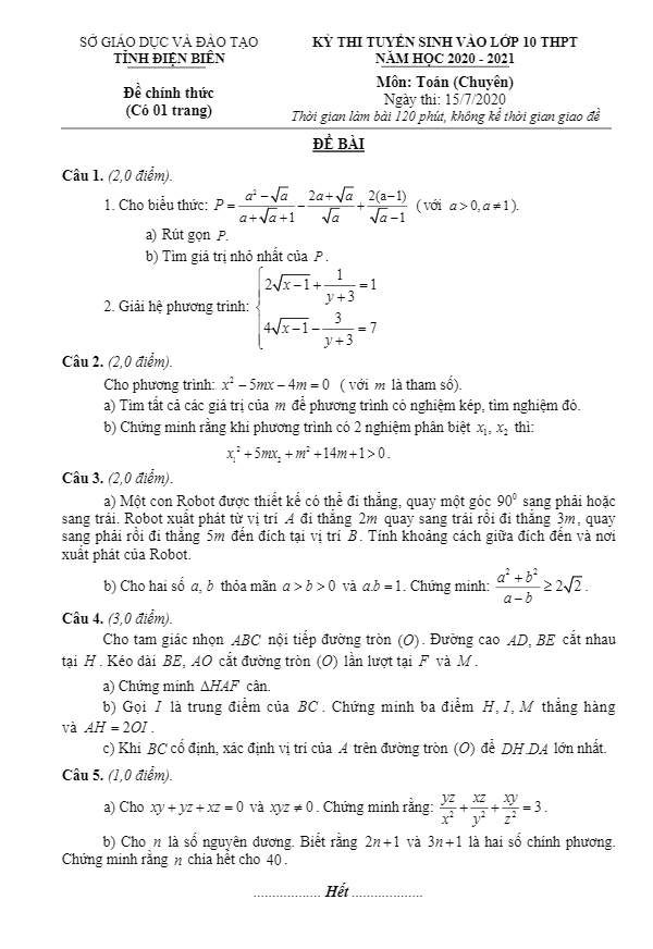
Đề Olympic Toán lớp 6 năm 2022 - 2023 Phòng GD&ĐT Quốc Oai - Hà Nội

Xin chào quý thầy cô và các em học sinh lớp 6! Hôm nay chúng ta sẽ cùng tìm hiểu về đề thi Olympic môn Toán lớp 6 năm học 2022 - 2023 do Phòng Giáo dục và Đào tạo huyện Quốc Oai, thành phố Hà Nội tổ chức.

1. Một trường THCS sắp tổ chức chuyến đi trải nghiệm cho học sinh khối 6. Nếu thuê xe loại có 30 chỗ, thì sẽ thiếu chỗ ngồi cho 18 học sinh. Nếu thuê xe loại có 24 chỗ, thì sẽ thừa 6 chỗ ngồi. Hãy tính số học sinh khối 6 của trường, biết rằng số học sinh nằm trong khoảng từ 100 đến 150 học sinh.

2. Bạn An tung đồng xu một số lần liên tiếp. Xác suất mặt S xuất hiện là 4/9. Biết tích của số lần xuất hiện mặt S và số lần xuất hiện mặt N là 500. Hỏi bạn An đã tung bao nhiêu lần?

3. Cho p và 10p + 1 là các số nguyên tố lớn hơn 3. Chứng minh: 17p + 1 là hợp số.

4. Tìm tất cả các số có 3 chữ số khác nhau mà số đó chia hết cho số có 2 chữ số được tạo thành từ số đã cho bằng cách gạch đi bất kỳ một chữ số nào trong 3 chữ số đó.

Hy vọng các em sẽ thực hiện bài thi một cách tự tin và suôn sẻ. Chúc các em thành công!

Bình luận (5)

Ngọc ánh Lê thị

Tôi không thể giấu nổi sự phấn khích khi biết về đề Olympic lớp 6 môn Toán sắp diễn ra. Đây là cơ hội để các em học sinh thể hiện tài năng và sự nỗ lực của mình.

Trả lời.

Thành Đặng Phan

Em rất hồi hộp và mong chờ khi tải xuống file pdf của đề Olympic lớp 6 môn Toán. Đây là dịp để rèn luyện kỹ năng và kiến thức của mình.

Trả lời.

Hoàng Quỳnh Nga

Tôi không thể tin được rằng đề Olympic lớp 6 môn Toán năm 2022 2023 đã được chuẩn bị. Đây là một cơ hội tuyệt vời cho các học sinh thử thách bản thân và học hỏi nhiều.

Trả lời.

TRUNG NGUYEN

Em cảm thấy vui và hồi hộp khi biết có tài liệu đề Olympic lớp 6 môn Toán mới. Cảm ơn phòng GD ĐT Quốc Oai Hà Nội rất nhiều!

Trả lời.

Cử Si

Tôi rất biết ơn phòng GD ĐT Quốc Oai Hà Nội đã tổ chức đề Olympic này. Đây là cơ hội quý báu giúp các em học sinh phát triển tư duy và kỹ năng Toán của mình.

Trả lời.
Nhấn vào đây để đánh giá
Thông tin người gửi
1.30079 sec| 2474.914 kb