Đề tham khảo cuối học kì 1 (HK1) lớp 11 môn Toán CD năm 2023 2024 trường THPT Văn Bàn 2 Lào Cai

Đề tham khảo cuối học kì 1 (HK1) lớp 11 môn Toán CD năm 2023 2024 trường THPT Văn Bàn 2 Lào Cai

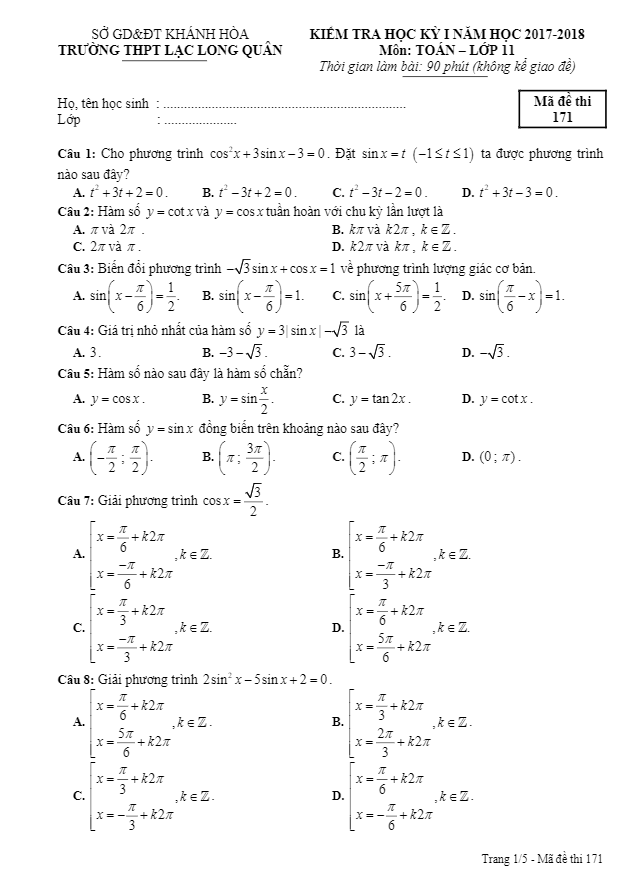
Nội dung Đề tham khảo cuối học kì 1 (HK1) lớp 11 môn Toán CD năm 2023 2024 trường THPT Văn Bàn 2 Lào Cai Bản PDF

Đề tham khảo cuối học kì 1 (HK1) lớp 11 môn Toán CD năm 2023 2024 trường THPT Văn Bàn 2 Lào Cai

Sytu xin gửi đến quý thầy cô và các em học sinh lớp 11 đề tham khảo kiểm tra cuối học kỳ 1 môn Toán lớp 11 sách Cánh Diều năm học 2023-2024 trường THPT số 2 Văn Bàn, tỉnh Lào Cai. Đề thi có hình thức 70% trắc nghiệm và 30% tự luận, thời gian làm bài 90 phút (không tính thời gian phát đề). Đề thi bao gồm ma trận, đáp án và hướng dẫn chấm điểm.

Nội dung / Đơn vị kiến thức:

  1. Chương II. Dãy số. Cấp số cộng và cấp số nhân.
    • Dãy số.
    • Cấp số cộng.
    • Cấp số nhân.
  2. Chương III. Giới hạn. Hàm số liên tục.
    • Giới hạn của dãy số.
    • Giới hạn của hàm số.
    • Hàm số liên tục.
  3. Chương IV. Đường thẳng và mặt phẳng trong không gian. Quan hệ song song.
    • Đường thẳng và mặt phẳng trong không gian.
    • Hai đường thẳng song song trong không gian.
    • Đường thẳng và mặt phẳng song song.
    • Hai mặt phẳng song song.
    • Hình lăng trụ và hình hộp.
    • Phép chiếu song song. Hình biểu diễn của một hình trong không gian.

File WORD (dành cho quý thầy, cô): Download.

Bình luận (4)

Hà Nhật Ánh

Em rất cảm động với sự chu đáo của trường THPT Văn Bàn 2 Lào Cai khi cung cấp tài liệu hữu ích như vậy cho học sinh. Điều này chắc chắn sẽ giúp em và các bạn học sinh tự tin hơn trong kỳ thi sắp tới.

Trả lời.

nguyen dinh nam

Tôi muốn bày tỏ sự biết ơn đến người đã biên soạn tài liệu đề tham khảo này. Đây thực sự là một công việc tuyệt vời, giúp học sinh rèn luyện kỹ năng và kiến thức môn Toán một cách hiệu quả.

Trả lời.

Trường Nguyễn

Em không thể không phấn khích khi biết có tài liệu đề tham khảo cuối học kì 1 môn Toán cho năm học 2023 2024. Cảm giác hồi hộp và háo hức đã tràn ngập trong em!

Trả lời.

Khoa

Tôi rất vui khi nhận được tài liệu đề tham khảo cuối học kì 1 môn Toán lớp 11 của trường THPT Văn Bàn 2 Lào Cai. Đây sẽ là tài liệu hữu ích để giúp học sinh chuẩn bị tốt cho kỳ thi sắp tới.

Trả lời.
Nhấn vào đây để đánh giá
Thông tin người gửi
2.45814 sec| 2475.016 kb