Đề tham khảo cuối học kì 2 (HK2) lớp 11 môn Toán KNTTVCS năm 2023 2024 sở GD ĐT Ninh Bình

Đề tham khảo cuối học kì 2 (HK2) lớp 11 môn Toán KNTTVCS năm 2023 2024 sở GD ĐT Ninh Bình

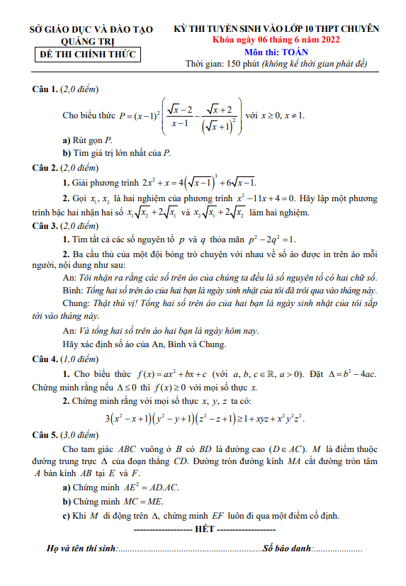
Nội dung Đề tham khảo cuối học kì 2 (HK2) lớp 11 môn Toán KNTTVCS năm 2023 2024 sở GD ĐT Ninh Bình Bản PDF

Sytu hân hạnh giới thiệu một bộ Đề tham khảo cuối học kì 2 môn Toán lớp 11 KNTTVCS năm học 2023 – 2024 từ Sở Giáo dục và Đào tạo tỉnh Ninh Bình. Đề thi được biên tập theo cấu trúc 70% trắc nghiệm và 30% tự luận, giúp học sinh rèn luyện và kiểm tra kiến thức một cách toàn diện.

Bộ đề bao gồm các phần chính như hàm số mũ và hàm số logarit, quan hệ vuông góc trong không gian, các quy tắc tính xác suất và đạo hàm. Mỗi phần đều được phân chia rõ ràng và cụ thể để giúp học sinh dễ dàng nắm bắt nội dung.

Ngoài ra, đề cung cấp đáp án và hướng dẫn chấm điểm chi tiết, giúp học sinh tự kiểm tra và đánh giá bài làm của mình. Thời gian làm bài là 90 phút, đủ để học sinh thể hiện kiến thức và kỹ năng của mình.

Đề thi được biên soạn một cách cẩn thận, phục vụ cho việc ôn tập và kiểm tra cuối kỳ của học sinh. Hy vọng rằng bộ đề này sẽ là công cụ hữu ích để học sinh nắm vững kiến thức và đạt kết quả cao trong kỳ thi sắp tới. Hãy cùng Sytu chuẩn bị và đồng hành cùng học sinh trên con đường học tập và thành công!
Bình luận (5)

Trường Minh Vũ

Em vô cùng vui mừng khi thấy tài liệu đề tham khảo cuối học kì 2 môn Toán đầy đủ và chi tiết. Em sẽ cố gắng ôn tập hết mình để đạt kết quả tốt nhất!

Trả lời.

Ung Nho Tú

Tôi cảm thấy rất cảm động khi nhận được tài liệu đề tham khảo cuối học kì 2 môn Toán. Đây là sự chu đáo và tận tình từ phía Sở GD ĐT Ninh Bình dành cho học sinh!

Trả lời.

User Google

Em không thể không phấn khích khi thấy tài liệu đề tham khảo cuối học kì 2 môn Toán được cung cấp cho mình. Em rất sẵn lòng ôn tập và cải thiện kỹ năng của mình từ tài liệu này!

Trả lời.

tien

Tôi muốn bày tỏ lòng biết ơn đến Sở GD ĐT Ninh Bình đã chia sẻ tài liệu đề tham khảo cuối học kì 2 môn Toán cho chúng tôi. Chắc chắn mọi người sẽ rất hữu ích và cảm thấy hỗn hợp với tài liệu này!

Trả lời.

Thu nguyen van

Em cảm thấy rất vui và hạnh phúc khi có cơ hội tải về tài liệu đề tham khảo cuối học kì 2 môn Toán. Đây chắc chắn sẽ là nguồn tư liệu hữu ích cho việc ôn tập của em!

Trả lời.
Nhấn vào đây để đánh giá
Thông tin người gửi
1.17948 sec| 2475.586 kb